Сополимеризация
СОПОЛИМЕРИЗАЦИЯ, совместная полимеризация двух или более мономеров. В большинстве случаев реакц. способность активных центров на концах растущей цепи определяется природой последнего звена. При сополимеризации мономеров М1 и М2 возможны четыре р-ции роста цепи:

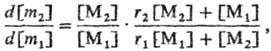
Здесь ~m1* и ~m2* -активные частицы (олигомеры) с концевыми звеньями соотв. M1 и М2; k11, k12, k22, k21 -константы скорости р-ций. На основании этой схемы можно вывести ур-ние, связывающее составы сополимера и мономерной смеси:

где [M1] и [М2]- текущие концентрации мономеров, [m1] и [m2]-текущие концентрации мономерных звеньев в сополимере, r1 = k11/k12 и r2 = k22/k21. Параметры r1 и r2 яаз. константами сополимеризации или относит. активностями мономеров.
Активность мономеров в сополимеризации определяется их пространств. строением, наличием сопряжения и полярностью двойных связей. При радикальной сополимеризации (см. Радикальная полимеризация) на величины r1 и r2 могут влиять специфич. взаимодействие мономеров с р-рителем (напр., образование водородных связей), комплексообразование мономеров, их изби-рат. сорбция полимерными клубками. При ионной сополимеризации (см. Катионная полимеризация, Анионная полимеризация) величины r1 и r2, как правило, зависят от природы р-рителя и противоиона. Распределение звеньев в цепях, как правило, статистическое, кроме случая образования чередующихся сополимеров, когда r1 : 0 и r2 : 0. При сополимеризации до глубоких степеней превращения мономеров валовой сополимер содержит цепи разного состава.
Лит.: Оудиан Дж., Основы химии полимеров, пер. с англ., М., 1974; Мях ченков В. А., Френкель С. Я., Композиционная неоднородность сополимеров. Л., 1988. Ю.Д. Семчиков.