Цепные реакции
ЦЕПНЫЕ РЕАКЦИИ, хим. превращения и ядерные процессы, в к-рых появление промежуточной активной частицы (свободного радикала, атома, возбужденной молекулы в хим. превращениях, нейтрона - в ядерных процессах) вызывает цепь превращений исходных в-в. Примеры хим. цепных реакций- радикальная полимеризация, окисление, пиролиз и галогенирование углеводородов и др. орг. соед.; ядерные цепные процессы - цепное деление атомных ядер. Данная статья посвящена в основном химическим цепным реакциям.
Термин "цепные реакции" был предложен М. Боденштейном, обнаружившим (1913), что в ряде фотохим. р-ций (напр., Н2 + + С12
2НС1, СО + С12
СОС12) один поглощенный фотон вызывает превращение сотен тысяч молекул. Поскольку согласно закону квантовой эквивалентности Штарка-Эйнштейна при поглощении одного фотона в р-цию вступает лишь одна частица, остальные молекулы реагируют без непосредственного светового воздействия. Боденштейн предположил, что активной частицей, вызывающей цепь превращений, является возбужденная молекула
В 1916 В. Нернст высказал предположение об атомарной природе активных частиц и предложил след, механизм цепных реакций с участием Сl2. Поглощение фотона приводит к образованию из молекулы С12 двух атомов
к-рые вступают последовательно в р-ции:
Суммирование р-ций 7 и 2 дает брутто-р-цию, к-рая отражает стехиометрию превращения Н2 + С12
2НС1. Атом
образовавшийся в р-ции 2, идентичен атому
вступившему в р-цию 7, поэтому последовательность р-ций можно представить в виде, иллюстрирующем наглядность термина "цепные реакции":
Цепной механизм и его стадии
Цепные реакции относятся к сложным реакциям и могут состоять из мн. элементарных стадий. Любая цепная реакция обязательно включает три осн. стадии: инициирование (зарождение цепи), продолжение и обрыв цепи. Инициированием наз. стадия, в к-рой из валентнонасыщенных молекул исходных в-в образуются переносчики цепи- активные частицы, участвующие в последующих р-циях и приводящие в конце концов к расходованию исходных в-в и образованию продуктов (р-ции инициирования в дальнейшем обозначаются буквой i). Последоват. р-ции (стадии) продолжения цепи составляют т. наз. цикл продолжения цепи (ЦПЦ), или звено цепи, а число v звеньев, приходящихся в среднем на каждый образовавшийся в р-ции инициирования переносчик цепи, наз. длиной цепи. Переносчики цепи исчезают в р - циях обрыва цепи вследствие столкновений друг с другом или со стенкой реакционного сосуда (в дальнейшем р-ции обрыва обозначаются буквой о).
В нек-рых цепных реакциях в одной или неск. элементарных стадиях происходит увеличение числа активных частиц, что приводит к разветвлению цепей; такие цепные реакции наз. разветвленными.
Рассмотрим подробнее стадии цепных реакций.
Инициирование - наиб. энергоемкая стадия цепной реакции, ее энергия активации определяется энергией разрываемой хим. связи (обратная р-ция - безактивационная). Поэтому образование активных частиц из молекул исходных в-в происходит лишь при достаточно высоких т-рах или при воздействии света, ионизирующего излучения, ускоренных электронов и т. п.
В отсутствие энергетич. воздействия образование активных частиц и инициирование цепной реакции может происходить при обычных т-рах лишь в присутствии инициаторов - в-в, в молекулах к-рых энергия разрыва хим. связи существенно меньше, чем в молекулах исходных в-в. Типичные инициаторы - орг. пероксиды и гидропероксиды, диазосоединения (см. Инициаторы радикальные). Переносчики цепи образуются при последующих р-циях радикалов с молекулами реагентов, напр.:
В газофазных системах инициирование может протекать также на стенке сосуда S в результате диссоциативной хемо-сорбции реагента, напр.:
Энергия активации такой р-ции меньше, чем р-ции в объеме на величину разницы теплот адсорбции
и С12.
В р-рах инициирование может происходить в результате переноса электронов, обычно в р-ции участвуют ионы переходного металла. Инициатором мн. цепных реакций служит, напр., реактив Фентона H2O2 - FeSO4 (активные частицы
образуются в р-ции
Инициаторы ускоряют образование активных частиц, т. е. являются катализаторами инициирования, но в отличие от катализаторов обычных (нецепных) процессов они расходуются (часто их наз. расходуемыми катализаторами).
Продолжение цепи м. б. проиллюстрировано на примере процессов фотохим. разложения Н2О2 в присут. ионов Cu2+ и каталитич. разложения Н2О2 при добавлении в р-р ионов Fe3+, к-рые имеют схожие цепные механизмы (переносчики цепи -
и Сu+ или Fe2+):
Представляют интерес р-ции ЦПЦ в нек-рых важнейших пром. процессах. Так, для хлорирования орг. соединений ЦПЦ имеет вид:
Для окисления орг. соединений:
Для крекинга насыщенных углеводородов, напр. бутана:
Для радикальной полимеризации олефинов:
Многие атмосферные процессы относятся к цепным реакциям. Напр., в процессах соокисления метана и NO, образования H2SO4 в облачных каплях, содержащих
(кислотные дожди), ЦПЦ имеют вид:
Стратосферные процессы разложения озона под действием




также рассматриваются на основе представлений о цепных реакциях и их стадиях; в частности
и
образуются из хладонов, их присутствие в стратосфере считается одним из осн. факторов, ведущих к наблюдаемому уменьшению концентрации стратосферного озона.
В период становления осн. понятий теории цепных реакций в качестве активных частиц рассматривались лишь атомы и своб. радикалы. В 30-х гг. Н. Н. Семенов предложил механизм цепных реакций с участием ион-радикалов и возбужденных молекул. Так, для окисления щавелевой к-ты иодом предложена след. цепь:
Для разложения озона предполагалась цепь с участием
Впоследствии в число переносчиков цепи вошли и др. частицы: бирадикал
(окисление Н2), ионы переходных металлов в нестабильных (для условий опыта) зарядовых состояниях, комплексные соед. в конформационно-неравновесных состояниях и т. п. высокореакционные частицы.
Обрыв цепи. Гибель переносчиков цепи при столкновениях со стенкой S реакционного сосуда происходит по механизму типа:
В этих случаях скорость р-ции обрыва пропорциональна концентрации своб. радикалов - т. наз. линейный обрыв. Чем больше отношение площади пов-сти сосуда к его объему, тем интенсивнее гибель переносчиков цепи на стенке, тем короче цепь и меньше скорость р-ции.
Обрыв цепи вследствие столкновений радикалов - переносчиков цепи друг с другом и взаимного насыщения своб. валентности в объеме сосуда обычно происходит с участием третьей частицы М, роль к-рой состоит в отводе энергии от образующейся частицы:
В этих случаях обрыв цепи является р-цией второго порядка по концентрации своб. радикалов, а ее скорость пропорциональна произведению их концентраций - т. наз. квадратичный обрыв.
Линейный обрыв цепи возможен и вследствие хим. взаимод. переносчиков цепи с примесным в-вом, если при этом образуется радикал, не участвующий в р-циях продолжения цепи. Так, переносчик цепи
реагирует с примесным О2 с образованием
к-рый не участвует в р-циях продолжения цепи и исчезает при столкновении с др. частицей
или с атомами
Важнейший характерный признак цепных реакций- обрыв цепей на молекулах ингибитора- в-ва, эффективно взаимодействующего с переносчиком цепи и дезактивирующего его в результате хим. превращения. Выше упоминался О2, дезактивирующий
переводом его в форму
В случае введения в хим. систему т. наз. слабого ингибитора цепная реакция длительное время протекает медленнее, чем в его отсутствие. При добавке т. наз. сильного ингибитора цепная реакция практически не наблюдается в течение нек-рого периода индукции, после чего ее скорость становится такой же, как и без ингибитора (подробнее см. в ст. Ингибиторы). В отд. группу выделяют ингибиторы цепного окисления орг. в-в - т. наз. антиоксиданты. Эффективными прир. антиоксидантами являются аскорбиновая к-та и токоферол.
Кинетические закономерности неразветвленных цепных реакций.
В начальный момент времени концентрация переносчиков цепи в реагирующей хим. системе равна нулю. При введении инициатора или при энергетич. воздействии на систему начинается образование переносчиков цепи со скоростью инициирования wi. Одновременно происходят р-ции продолжения цепи, к-рые характеризуются относительно небольшими энергиями активации, и практически безактивационный процесс обрыва цепи на стенке или в объеме сосуда. Если р-ции на стенке являются основным каналом и инициирования и обрыва цепи, то скорость цепной реакции не зависит от отношения площади пов-сти сосуда S к его объему V, как и в том случае, если и инициирование и обрыв цепи происходят в объеме; в иных случаях скорость цепной реакции зависит от отношения S/V.
Обычно ЦПЦ состоит из 2-3 и более р-ций, причем одна из них характеризуется большей (сравнительно с другими) энергией активации и является скоростьопределяющей (лимитирующая стадия). Ее скорость равна скоростям всех остальных р-ций ЦПЦ wпр, но концентрация радикалов, участвующих в этой лимитирующей стадии, наибольшая. Т. к. гибель радикалов является практически безактивационным процессом, то осн. вклад в обрыв цепи вносят радикалы, участвующие в лимитирующей стадии ЦПЦ.
Участие переносчиков цепи в ЦПЦ не влияет на их концентрацию в системе, т. к. в ЦПЦ происходит их регенерация. Число переносчиков цепи п в единице объема в каждый момент времени t в простейшем случае гибели на стенке выражается дифференц. ур-нием:
откуда
где g - т. наз. фактор гибели переносчиков цепи (фактор обрыва цепи), равный константе скорости kо обрыва цепи на стенке. Из (2) следует, что п = 0 при t = 0 и со временем п достигает значения wi /kо. Скорость цепной реакции w пропорциональна п и возрастает от w = 0 до значения, определяемого выражением:
где [А] - концентрация реагента, подвергающегося превращению по цепному механизму; kпр - константа скорости продолжения цепи.
Различают два режима протекания процесса; нестационарный, соответствующий периоду роста скорости w, и стационарный, при к-ром п и w имеют постоянные значения. Характерные значения kо - десятки с-1, поэтому, согласно (2), период нестационарности характеризуется обычно долями секунды.
Если длина цепи v мала, в выражении для скорости р-ции необходимо учесть скорость расходования реагентов в стадии инициирования и скорость возможного образования продуктов в стадии обрыва цепи. Обычно, однако, число v составляет десятки, сотни и тысячи и скорость цепной реакции практически равна скорости каждой из р-ций продолжения цепи, согласно выражению (3).
При введении ингибитора In возникает дополнит, канал гибели переносчиков цепи (константа скорости kIn) и скорость цепной реакции принимает значение w':
где [In] - концентрация ингибитора. Если kIn невелика, для заметного замедления цепной реакции необходима добавка ингибитора в такой концентрации [In], чтобы значения kIn[In] и ko были соизмеримы. Расход ингибитора будет происходить со скоростью, меньшей wi, а т. к. его начальная концентрация [In]0 -существенная величина, ее уменьшение в ходе р-ции м. б. небольшим. Соответственно р-ция будет протекать длительное время со скоростью, равной или близкой к значению, определяемому выражением (4), где [In]
[In]0. Если же константа скорости kIn велика настолько, что уже при малых [In] о произведение
то в течение нек-рого времени, пока выполняется это неравенство, скорость образования продукта будет ничтожно мала в сравнении со скоростью цепной реакции w в отсутствие ингибитора. По мере расходования In, протекающего практически со скоростью инициирования wi, скорость цепной реакции в присут. ингибитора w' достаточно быстро достигнет значения w.
Расчет скорости цепных реакций в общем случае производится по методу квазистационарных концентраций (см. Квазистационарности приближение). Этот метод применим к частицам, концентрации к-рых из-за высокой реакционной способности на много порядков меньше концентраций реагентов. Для каждого из переносчиков цепи
составляют дифференц. ур-ние, приравнивающее производную
к сумме скоростей всех р-ций, в к-рых
образуется и гибнет. Все производные полагают равными нулю и решают систему алгебраич. ур-ний согласно методу Боденштейна.
Другой способ расчета скорости используют для цепных реакций с длинами цепи
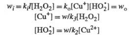
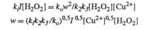
когда можно пренебречь возможным вкладом скоростей инициирования и обрыва цепи в общую скорость р-ции, т. е. в тех случаях, когда общая скорость w равна скорости wпр р-ций ЦПЦ (все они имеют одинаковую скорость) и wi = w0. Стационарную концентрацию переносчиков цепи, участвующих в р-циях обрыва, определяют из кинетич. ур-ния wi = w0 и затем рассчитывают w. Так, для вышеупомянутого разложения Н2О2 в присуг. ионов Сu2+ при освещении светом интенсивности I
Отсюда
Разветвленные цепные реакции.
Термин предложен Н. Н. Семеновым для открытых им (1926-28) цепных реакций с критич. явлениями, состоящими в том, что незначит. изменения концентрации реагентов, т-ры, размеров сосуда, введение примеси (даже разбавление реакционной смеси инертным газом) могут приводить к скачкообразному росту скорости цепных реакций от практически ненаблюдаемой до столь большой, что ее невозможно измерить. Впервые критич. явления в хим. системах были обнаружены Семеновым, Ю. Б. Харитоном и 3. Ф. Вальта при окислении паров фосфора. Термином "разветвление" обозначают входящую в такие р-ции стадию размножения активных частиц.
Осн. понятие теории разветвленных цепных реакций- фактор разветвления цепи f, противоположный фактору гибели g переносчиков цепи в р-циях обрыва. Ур-ние (1) с учетом разветвления цепи записывается в виде:
где
До тех пор пока g > f, будет наблюдаться цепная реакция, кинетика к-рой не отличается от неразветвленных цепных реакций. С ростом f в соответствии с (2) п будет нарастать до все более высоких стационарных значений:
п = wi /(g -f).
Если же f станет больше g, т. е.
станет положит. величиной, решением ур-ния (5) будет выражение:
Выражение для скорости цепных реакций, известное как ур-ние Семенова, имеет вид:
т. е. концентрация активных частиц не принимает стационарного значения, а непрерывно нарастает, как и пропорциональная ей скорость цепной реакции, переходящей в самовоспламенение. Условие g = f , или
=0 - граничное для перехода от стационарного режима разветвленно-цепного процесса к нестационарному, протекающему с самоускорением (рис. 1). Чем быстрее р-ция, чем больше концентрация активных частиц, тем сильнее ускоряется р-ция. Т. обр., для разветвленных цепных реакций реализуется положит. oбратная связь.
Рис. 1. Динамика разветвленного цепного процесса при различных соотношениях факторов обрыва и разветвления цепи (соотв. g и f,
=f - g); w - скорость цепной р-ции, t - время.
Переход от стационарного к нестационарному протеканию цепной реакции может происходить как при увеличении f, так и при уменьшении g. Очевидно, что чем ближе условия к граничному f = g, тем меньшие изменения f или g могут привести к срыву и переходу р-ции в режим самоускорения.
Наиб. детально изучено разветвление-цепное окисление Н2 в смеси с О2. Р-ция инициирования
продолжение цепи определяется р-циями:
Суммарная р-ция:
т. е. в ЦПЦ не только образуется продукт Н2О и регенерируются переносчики цепи
, но и возникают еще два переносчика цепи
и
Каждый из переносчиков цепи может либо погибнуть в р-циях обрыва, либо начать новое звено цепи, с образованием еще большего числа переносчиков цепи. Приведенная ниже схема развития цепного процесса в условиях, когда f > g, наглядно иллюстрирует явление разветвления цепи:
Все известные разветвленно-цепные р-ции являются экзотермическими, причем часть выделяемой энергии переходит в энергию активных частиц. Поэтому для разветвления цепи необходимо, чтобы тепловой эффект брутто-процесса значительно превосходил тепловой эффект наиб. энергоемкой из всех стадий разветвления (для окисления Н2 это соотв. 483 и 70 кДж/моль).
К изученным разветвленно-цепным р-циям относятся окисление паров Р, S; р-ции О2 с CS2, CO, SiH4, углеводородами; разложение NC13. Для всех этих р-ций характерно наличие нижнего и верхнего пределов самовоспламенения. Их происхождение определяется переходами через граничное условие f = g. В случае газофазных р-ций при низком давлении р диффузия переносчиков цепи к стенке и их гибель обусловливает неравенство g > f и р-ция практически не наблюдается. Рост давления препятствует диффузии, при этом g уменьшается, а f растет, т. к. обычно в р-ции разветвления участвует один из реагентов, давление к-рого составляет часть общего давления. При переходе через граничное условие f = g происходит самоускорение р-ции и самовоспламенение смеси. Граничному условию соответствует нек-рое значение р1 -давление нижнего предела самовоспламенения. Соотношение f > g соблюдается при р>р1, но при дальнейшем росте р способность смеси к самовоспламенению исчезает. С ростом р растет доля тримолекулярных соударений, в результате к-рых происходит гибель переносчиков цепи в газовой фазе. Это м. б. также столкновения двух активных частиц с любой третьей частицей М и переход активной частицы в малоактивную, не участвующую в р-циях продолжения и разветвления цепи. Так, в смеси Н2 с О2 возможна гибель
по р-ции
с послед. гибелью
в р-циях друг с другом или с переносчиками цепи
и
За счет тримолекулярных р-ций фактор g, пропорциональный р2, опережает в своем росте фактор f, пропорциональный р. В результате при нек-ром р2 - давлении верхнего предела -вновь происходит переход через граничное условие f = g и смесь теряет способность к самовоспламенению. Явление верхнего предела было открыто и объяснено С. Хиншелвудом (1956). Семенову и Хиншелвуду за исследование механизма хим. р-ций была присуждена Нобелевская премия.
С ростом т-ры Т область воспламенения - разность между р2 и р1 - расширяется, т. к. фактор f, характеризующий энергоемкую р-цию разветвления, возрастает с ростом Т значительно, а фактор g от Т зависит слабо. В случае понижения Т и р2при нек-рой Т значения pl и р2становятся одинаковыми. Зависимости pl и р2 от T образуют характерный полуостров воспламенения (рис. 2). Контур этого полуострова может изменяться при изменении условий опыта. Так, при увеличении отношения S/V, напр. введением в сосуд стержней, g возрастает и происходит повышение нижнего предела р1как ф-ции Т. Тот же эффект проявляется при уменьшении диаметра сосуда, т. е. увеличении S/V. Разбавление смеси инертным газом затрудняет диффузию активных частиц к стенке и одновременно повышает долю тримолекулярных столкновений из-за роста общего давления. В результате происходят уменьшение g в области нижнего предела самовоспламенения и рост g в области верхнего предела. При введении ингибитора контур полуострова воспламенения изменяется, нижний предел повышается, верхний - понижается.
Рис. 2. Полуостров воспламенения смеси водорода с кислородом.
Самоускорение цепных реакций с разветвлением цепей, описываемое ур-нием Семенова, обусловлено переходом энергии экзотермич. р-ции в хим. энергию активных частиц. Так, в определенных условиях до половины кол-ва молекул Н2 в режиме самовоспламенения может существовать в форме атомов
Другая возможность - переход энергии экзотермич. хим. р-ции в кинетич. энергию частиц и рост т-ры в случае, если скорость разогревания смеси превышает скорость отвода тепла от сосуда. Повышение т-ры приводит к ускорению р-ции, повышению интенсивности тепловыделения и дальнейшему росту т-ры и скорости р-ции - тепловому взрыву. В основе такого процесса м. б. как неразветвленная цепная реакция, так и р-ция с разветвлением цепей. В последнем случае появляется т. наз. третий предел самовоспламенения: смесь, потерявшая способность к самовоспламенению при р>р2, с послед. повышением р вновь становится самовоспламеняющейся.
Энергетическое разветвление цепей. Возможен переход энергии хим. р-ции в энергию возбуждения внутр. степеней свободы частиц, образующихся в экзотермич. элементарной стадии; в этом случае нарушается равновесное распределение частиц по энергиям. Сверхравновесная концентрация вращательно-возбужденных состояний быстро, в результате неск. соударений, уменьшается до равновесной. Для диссипации избыточной колебат. энергии необходимо участие возбужденной частицы в тысячах соударений, т. е. время жизни колебательно-возбужденных состояний много больше, чем вращательно-возбужденных. Это может привести к росту скорости р-ции, т. к. константы скорости с участием колебательно-возбужденных частиц м. б. на много порядков больше, чем для невозбужденных.
Впервые роль колебательно-возбужденных состояний в самоускорении разветвленно-цепных р-ций была выявлена для высокоэкзотермич. р-ции
Н2 + F2
2HF;
= -537 кДж/моль
Аналогичная р-ция Н2 + С12
2НС1 протекает как неразветвленный процесс. В отсутствие светового воздействия для обеих р-ций инициирование происходит на стенке сосуда: (Х2 + S
X2S
SX +
) и в объеме (Х2 + М
М + 2Х), где X - С1 или F. Большая разница энергий связи F — F (159 кДж/моль) и Н — F (565 кДж/моль) определяет еще один канал образования атомарного F:
Для аналогичной р-ции с участием С12 необходимо затратить 248 кДж/моль, т. е. такая р-ция практически не происходит. Р-ции продолжения цепи для обеих систем подобны:
Энергия, выделяющаяся в р-циях 7,2 и 2', частично переходит в энергию колебат. возбуждения продуктов - соотв. HF и НС1. При последующих соударениях избыточная колебат. энергия рассеивается - переходит в поступат. и вращат. энергию мн. других частиц.
Имеются, однако, две возможности перехода колебат. энергии в хим. энергию активных частиц. Если энергия возбуждения конечного или промежут. продукта достаточна для его распада на активные частицы, может пойти р-ция размножения частиц. В рассматриваемых р-циях такая возможность отсутствует, т. к. соответствующие энергии связи составляют 565 (для Н — F) и 431 кДж/моль (для Н — С1), т. е. они больше, чем тепловые эффекты р-ций соотв. 2 и 2'.
Вторая возможность - передача энергии колебат. возбуждения продукта на частицу реагента. Такая передача тем вероятней, чем ближе значения энергий колебат. возбуждения сталкивающихся частиц. Для рассматриваемых частиц колебат. кванты таковы (в кДж/моль):
Энергии колебат. возбуждения близки лишь для пары HF-H2. Между этими частицами может протекать реакция
(значок v означает колебат. возбуждение). Частица
как и Н2, реагирует с F2, но для р-ции
тепловой эффект составляет не +30, а -22,7 кДж/моль, а ее константа скорости примерно в 107 больше, чем для р-ции невозбужденного Н2. Дополнив р-ции 7 и 2 рассмотренными р-циями колебательно-возбужденных частиц, получаем след. ЦПЦ:
Сумарная р-ция:
Все особенности разветвленно-цепных р-ций - существование нижнего и верхнего предельных давлений, наличие полуострова воспламенения, зависимость положения нижнего предела от размеров сосуда и т. п.- присущи и этой р-ции с энергетич. разветвлением цепи.
Энергетич. разветвление цепей было открыто в 1963 Семеновым. Впоследствии было обнаружено энергетич. разветвление цепей без передачи энергии колебат. возбуждения. Так, для р-ции CH2F2 + 2F2
CF4 + 2HF был установлен механизм разветвления цепей в результате распада промежут. в-ва, образующегося в состоянии колебат. возбуждения:
Суммарная р-ция:
По механизму цепных реакций с энергетич. разветвлением происходят газофазное фторирование СН4 и его галогенпроизводных, фторирование этана, окисление тетрафторэтилена и ряда хлорзамещенных олефинов, хлорирование силана и нек-рые др. процессы. Поскольку в цепных реакций с энергетич. разветвлением возникает инверсная заселенность колебат. уровней, такие цепные реакции представляют практич. интерес для решения проблемы создания лазеров с хим. накачкой (см. Лазеры химические).
Разветвленно-цепные р-ции могут протекать стационарно, если g > f, и с самоускорением, если f > g. Значения
=f - g таковы, что вся р-ция протекает за доли секунды.
Р-ции с вырожденным разветвлением. Такое назв. получили многочисленные радикально-цепные р-ции, для к-рых характерно самоускорение, описываемое ур-нием Семенова с очень малыми значениями
Для таких р-ций обычно не наблюдается перехода в режим самовоспламенения или взрыва. По достижении нек-рой макс. скорости такие р-ции замедляются (рис. 3). С этим связано второе назв. таких р-ций - вырожденный цепной взрыв. Характерное время их ускоренного протекания - не доли секунды, а десятки минут и часов. Различие величин j определяет различие механизмов.
Рис. 3. Динамика процессов с вырожденным разветвлением цепей (1) и разветвленного цепного (2). Заштрихованные площади отражают кол-во реагентов, прореагировавших к моменту времени t.
Рассмотрим, напр., цепное окисление углеводородов. В этом случае ЦПЦ включает след. р-ции:
В отсутствие инициатора инициирование происходит по р-ции:
Радикалы
не участвуют в ЦПЦ и исчезают в разл. р-циях гибели на стенке и в объеме. Концентрации частиц
и
за доли секунды достигают своего стационарного значения, определяемого ур-нием (2), a ROOH накапливается в системе и служит инициатором:
Последующее быстрое образование переносчика цепи
происходит в результате р-ций:
Т. обр., по мере протекания р-ции и накопления ROOH скорость инициирования растет:
Чем больше wi, тем больше скорость образования ROOH, a чем больше [ROOH], тем сильнее ускоряется инициирование. Так реализуется положит. обратная связь в случае р-ций с вырожденным разветвлением цепей. Суммарная р-ция:
Это ур-ние ничем не отличается от аналогичного для разветвленно-цепных р-ций, и если бы распад ROOH на
и
происходил с характерным временем, соизмеримым со временем развития звена цепи, не было бы отличия в их поведении. В действительности же эти времена сильно разнятся. Одна р-ция разветвления 3 приходится на многие тысячи р-ций 1 и 2, составляющих ЦПЦ неразветвленного окисления RH. Рост [ROOH] в ходе р-ции мог бы тем не менее привести к тому, что величины k3[ROOH] и
стали бы соизмеримы. Этого не происходит из-за того, что ROOH - нестабильный промежут. продукт, и со скоростью, намного большей, чем для р-ции 5, происходит превращение ROOH в стабильные продукты окисления RH - кетоны, к-ты и др. по р-ции:
Поскольку
не происходит значит, накапливания ROOH, а по мере его накапливания расход RH по р-циям 1, 2 и 6 оказывается столь большим, что скорость всех р-ций с участием RH падает значительно. Рассмотренными факторами и определяются характерные особенности вырожденно-разветвленных цепных реакций: рост скорости на начальных стадиях, описываемый ур-нием
но с очень малым
уменьшение скорости р-ции на более поздних стадиях р-ции. К р-циям с вырожденным разветвлением относятся многочисленные р-ции окисления не только углеводородов, но и большинства др. орг. соединений, поскольку их общим св-вом является промежут. образование ROOH. Подобным образом протекает и окисление сероводорода.
Большой вклад в изучение этих р-ций был сделан А. Б. Налбандяном и Н. М. Эмануэлем. Большое значение имело открытие разветвленных и вырожденно-разветвленных цепных реакций для создания теории горения.
Р-ции с вырожденным разветвлением цепей при повышенных т-рах могут протекать как разветвленно-цепные. Так, H2S реагирует с О2 при 250-300 °С по механизму вырожденного разветвления цепей, а при 350-400 °С наблюдаются нижний и верхний пределы самовоспламенения. По-видимому, при повышенных т-рах становятся существенными р-ции разветвления, к-рые не идут при низких т-рах. Для окисления углеводородов Семенов рассмотрел возможность разветвления в результате высокотемпературного распада
на
и альдегид R"CHO и последующей р-ции
Образование ответственного за разветвление промежут. продукта в результате протекания неразветвленно-цепной р-ции и возможность перехода р-ций с вырожденным разветвлением в разветвленно-цепные свидетельствует о том, что механизм вырожденного разветвления цепей занимает промежут. положение между неразветвленным и разветвленно-цепным механизмами.
Лит.: Семёнов Н. Н., Развитие теории цепных реакций и теплового воспламенения, М., 1969; Проблемы химической кинетики, М., 1979; Налбандян А. Б., Варданян И. А., Современное состояние проблемы газофазного окисления органических соединений, Ер., 1986.
А. П. Пурмаль.