Паули реакция
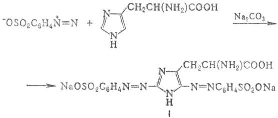
ПАУЛИ РЕАКЦИЯ, цветная р-ция на белки, содержащие остатки тирозина и(или) гистидина (а также на эти аминокислоты), к-рую осуществляют смешиванием р-ра белка со свежеприготовл. р-ром n-диазобензолсульфокислотой в присут. Na2CO3. Синтез окрашенного соед. происходит в результате р-ции азосочетания, напр.:

Образующееся соед. I имеет в щелочной среде красную окраску, меняющуюся на желто-красную при подкислении. Р-ция неспецифична, т. к. в р-цию азосочетания вступают мн. соед., содержащие в молекуле ароматич. или гетероароматич. цикл. П. Д. Решетов.
Ещё по теме
Свойства и реакции пептидов
Пептидная связь — определение и образование
Перкина реакция — метод синтеза b-арилакриловых кислот
Пептидная связь — структура и конформация
Биуретовая реакция — принципы и применение
Дипразин — свойства и методы обнаружения
Методы синтеза пептидов
Параллельные химические реакции
Пиридин — свойства и применение
Распад пиримидиновых нуклеозидов — механизмы и продукты