Распад пиримидиновых нуклеозидов
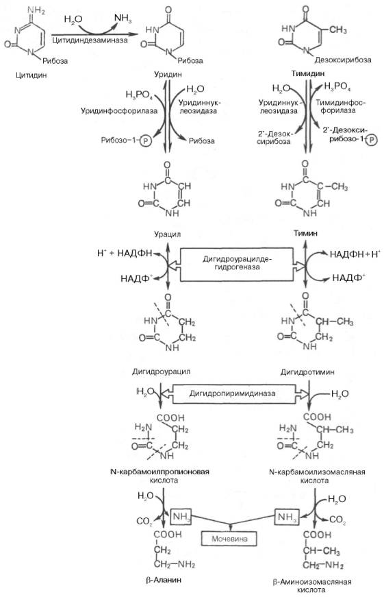
Последовательность ферментативных реакций гидролиза пиримидиновых нуклеозидов можно представить в виде схемы:

Начальные этапы реакции распада пиримидиновых нуклеотидов катализируются специфическими ферментами. Конечными продуктами реакции являются СО2, NH3, мочевина, β-аланин и β-аминоизомасляная кислота. Следует указать, что гидролитический путь распада пиримидинов является, очевидно, главным путем образования β-аланина, который может служить источником для синтеза ансерина и карнозина (см. главу 20), а также для образования КоА. Известно, что β-аланин в животных тканях подвергается дальнейшему распаду. В тканях животных открыта специфическая аминотрансфераза, катализирующая трансаминирование между β-аланином и пировиноградной кислотой. В процессе этой обратимой реакции синтезируются α-аланин и формилацетат (полуальдегид малоновой кислоты):

Образовавшийся формилацетат далее подвергается окислительному декарбоксилированию с образованием углекислоты и ацетил-КоА.