Яппа-Клингеманна реакция

ЯППА - КЛИНГЕМАННА РЕАКЦИЯ, получение арилгидразонов6049-47.jpgдикарбонильных соед. взаимод.6049-48.jpg-дикарбонильных соед., с солями арилдиазония в присут. оснований (В):

6049-49.jpg

В р-цию вступают6049-50.jpg-дикетоны, эфиры монозамещенных производных ацетоуксусной к-ты, эфиры циануксусной к-ты (дают гидразоны кетонитрилов) и нек-рые др. соед. с активной метиновой группой. При наличии в молекуле дикарбонильного соед. ацильной и алкоксикарбонильной фупп в процессе р-ции преимущественно отщепляется первая; однако если алкоксикарбонильную группу предварительно омылить, то отщепляется карбоксильная группа. В ряду эфиров диацилуксусных к-т преим. отщепляется ацильная группа, отвечающая более слабой к-те. Цианогруппа, как правило, в ходе р-ции не отщепляется.
При вовлечении в р-цию циклич.6049-51.jpg-кетоэфиров расщепляется связь С — С в цикле, напр.:

6049-52.jpg

В Яппа - Клингеманна реакцию вступают соли диазония на основе анилина, бензидина и их замещенных производных. Более активны соли, содержащие орто- и пара-электроноакцепторные заместители.
Обычно Яппа - Клингеманна реакцию проводят при О °С в водной или водно-спиртовой среде в присут. КОН, NaOH, RONa или CH3COONa (последний используют, когда желательно отщепление ацильной группы). В зависимости от активности метиновой группы для завершения р-ции требуется от неск. секунд до 4 сут. Выходы обычно составляют 40-90%.
Осн. побочная р-ция - образование формазанов (особенно при использовании избытка соли диазония):

6049-53.jpg

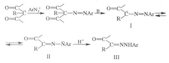
Считают, что Яппа - Клингеманна реакция начинается с образования карбаниона из дикарбонильного соед., к-рый связывается с катионом арилдиазония; дальнейшие стадии - отщепление ацила и перегруппировка аниона ф-лы I в анион II, к-рый присоединяет протон и превращается в гидразон III:

6049-54.jpg

Яппа - Клингеманна реакцию используют в препаративной практике для синтеза6049-55.jpg аминокислот, напр.:

6049-56.jpg

Нек-рые типы гидразонов, получаемых по Яппа - Клингеманна реакции, используют для получения индолов по Фишеру (см. Фишера реакция). Р-ция открыта Ф. Яппом и Ф. Клингеманном в 1887.

Лит.: Филлипс Р., в сб.: Органические реакции, пер. с англ., сб. 10, М., 1963, с. 148; Китаев Ю. П., Бузыкин Б. И., Гидразоны, М., 1974, с. 28-29; Общая органическая химия, пер. с англ., т. 3, М., 1982, с. 484-85.

Г. И. Дрозд.

Синонимы/примеры:* Реакция Яппа; Реакция Клингельмана
*подобраны ИИ, возможны неточности