Чепмена реакция

ЧЕПМЕНА РЕАКЦИЯ (перегруппировка Чепмена), термич. изомеризация ароматич. иминоэфиров в К,К-диариламиды ароматич. карбоновых к-т:

6025-26.jpg

R и R' - Hal, Alk, NO2, COOR" и др. Обычно иминоэфир нагревают 1-2 ч при 200-300 °С и продукт выделяют кристаллизацией; выходы достигают 70-90%. наиб. выходы получают при кипячении в тетраглиме (диметиловый эфир тетраэтиленгликоля). N,N-диариламиды легко омыляются щелочами в соответствующие дифениламины.
Р-ция облегчается, когда R в арилоксигруппе исходного иминоэфира - электроноакцепторный заместитель, и затрудняется в случае электронодонорного R. Заместители R' влияют противоположным образом. Такое влияние заместителей, а также внутримол. характер Чепмена перегруппировки хорошо описывает механизм, по к-рому миграция арильной группы от О к N происходит в четырехчленном переходном состоянии в результате нуклеоф. атаки мигрирующей арильной группы атомом азота:

6025-27.jpg

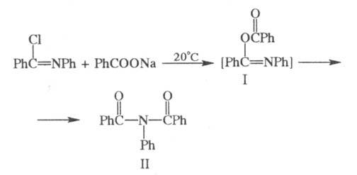
В соответствии с этим механизмом О-ацилиминоэфиры (ф-ла I) изомеризуются настолько легко, что в большинстве случаев вьщелить их не удается - в р-ции сразу образуются продукты перегруппировки (имиды II):

6025-28.jpg

О-Метилиминоэфиры также вступают в Чепмена реакцию с образованием соответствующего амида, напр.:

6025-29.jpg

Чепмена реакция - важный метод синтеза замещенных дифениламинов и азотсодержащих гетероциклов. Р-ция открыта в 1915, подробно изучалась А. Чепменом с 1925.
См. также Бекмана перегруппировка.

Лит.: Schulenberg J.W., Archer S., в сб.: Organic reactions, 1965, v. 14, p. 1; Curtin D.Y., Miller L.L., "Tetrahedron Lett.", 1965, № 23, p. 1869.