Сжимаемость
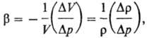
СЖИМАЕМОСТЬ (объемная упругость), способность в-ва обратимо изменять свой объем под действием равномерного всестороннего давления. Характеризуется коэффициентом сжимаемости b, определяемым как относит. изменение объема V (или плотности р) в-ва с изменением давления р:

где DV и Dr-изменения V ир при изменении р на Dp. Величину, обратную b, наз. модулем объемной упругости к. Для твердых тел x = EG/3(3G — E), где E-модуль Юнга, G- модуль сдвига (см. Механические свойства). Для идеального газа x = р при любой т-ре. В общем случае сжимаемость в-ва и, следовательно, значения b и к зависят от т-ры Т и давления р, причем, как правило, b уменьшается с ростом р и увеличивается с повышением Т.
На практике для характеристики сжимаемости часто пользуются относит. плотностью d = r/r0, где r0-плотность в-ва при нормальных условиях (273К, 98 кПа). Величины b, получаемые при изотермич. сжатии, обычно превышают значения, полученные в условиях адиабатич. сжатия (для твердых тел при нормальной т-ре на неск. %).
Сжимаемость оценивают из уравнений состояния, выражающих взаимосвязь давления p, объема V и т-ры Т, и определяют либо непосредственно по изменению V при всестороннем сжатии, либо косвенно-по данным о скорости распространения упругих волн в в-ве или из измерений параметра кристаллич. решетки под действием всестороннего давления. Сжимаемость однородного и изотропного твердого тела, подвергаемого всестороннему равномерному сжатию, можно определить посредством измерения его линейной деформации, т. е. линейной сжимаемости, связанной с коэф. объемной сжимаемости соотношением:

где L-линейный размер тела. Линейная сжимаемость анизотропных в-в различается по направлениям (вплоть до давлений в десятки ГПа), причем сжимаемость по направлениям, характеризуемым слабым межатомным взаимод., может значительно превосходить сжимаемость по направлениям, вдоль к-рых в кристаллич. решетке имеет место сильное взаимодействие. В общем случае сжимаемость есть симметричный тензор. При записи ур-ний состояния часто используют величину Z = pV/RT, наз. фактором сжимаемости; критической сжимаемостью наз. величину Zкr, получаемую при использовании критич. параметров pкр, Vкр, Ткр (R-газовая постоянная).
Сжимаемость большинства твердых тел при давлениях порядка 10 ГПа характеризуется значением d ! 15-20%, в то время как для щелочных металлов в тех же условиях d ! 40%, а для большинства др. металлов d ! 6-15%, сжимаемость жидкостей при давлениях до примерно 1 ГПа описывается с удовлетворит. точностью ур-нием Тэйта:

где V0 и V-объемы при давлениях р0 и р соотв., В и С-эм-пирич: постоянные, причем В зависит от т-ры, а С практически не зависит ни от т-ры, ни от давления. С ростом давления сжимаемость жидкостей вначале довольно резко уменьшается, а затем изменяется крайне незначительно. Так, коэф. b уменьшается в интервалах давлений 0,6-1,2 ГПа и 0,1-100 МПа приблизительно вдвое; при давлении порядка 1,5 ГПа он составляет 5-10% от исходной величины. В области давлений 30-40 ГПа модули сжимаемости жидкостей близки к значениям, типичным для твердых тел.
Сжимаемость газов с ростом давления остается весьма значительной вплоть до давления ок. 0,1 ГПа, по мере приближения плотности сжимаемого газа к плотности жидкости коэф. b приближается к значениям, характерным для сжимаемости жидкости.
Знание сжимаемости в-ва позволяет судить о зависимости физ. св-в от межатомных (межмолекулярных) расстояний. Данные по сжимаемости используют в расчетах хим. равновесий р-ций в смесях газов, системах газ-жидкость и газ-твердое тело. Сжимаемость в-в важна в исследованиях работы тепловых машин, эффектов, наблюдаемых при движении твердых тел с большими скоростями в газах и жидкостях, при взрыве и т.п.
Лит.: Гоникберг М. Г., Химическое равновесие и скорость реакции при высоких давлениях, 3 изд., М., 1969; Попова С. В., Бенделиани. H. А., Высокие давления, М., 1974; Циклис Д. С., Плотные газы, М., 1977.
А. А. Овсянников.