Гиполипидемические средства

ГИПОЛИПИДЕМИЧЕСКИЕ СРЕДСТВА (от греч. hypo-под, ниже, липиды и греч. haima-кровь), лек. препараты, снижающие уровень липидов в крови, гл. обр. холестерина и (или) триглицеридов. Липиды циркулируют в крови в комплексе с белками, т.е. в виде липопротеидов. Последние разделяют на: а) атерогенные, включающие липопротеиды низкой плотности (ЛПНП, или1112-30.jpgЛП), и нек-рые фракции липопротеидов очень низкой плотности (ЛПОНП, или про1112-31.jpgЛП); такие комплексы транспортируют холестерин в органы и ткани, в т.ч. в артериальную стенку, и в определенных условиях вызывают развитие атеросклероза; б) антиатерогенные (липопротеиды высокой плотности, ЛПВП, или1112-32.jpgЛП), к-рые акцептируют холестерин с мембран клеток и переносят его в печень с послед. удалением из организма. Применение гиполипидемических средств направлено прежде всего на профилактику развития атеросклероза.

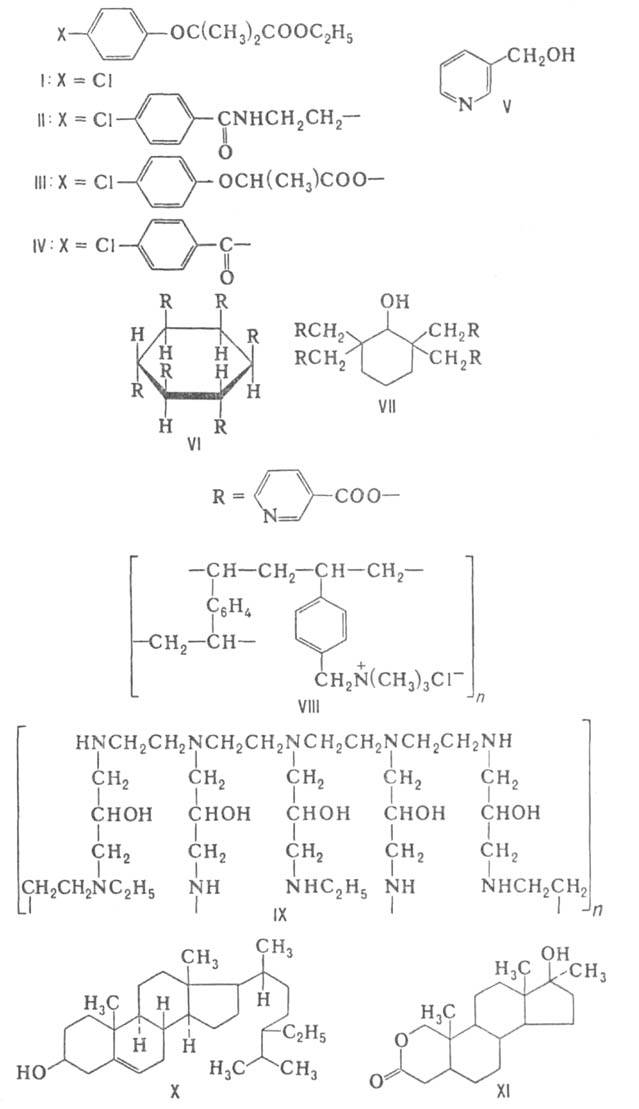
Гиполипидемические средства относятся к разным классам хим. соединений. Многие из них близки по строению естеств. метаболитам организма. Различают гиполипидемические средства: 1) препятствующие синтезу липидов и атерогенных липопротеидов; к ним относятся клофибрат (ф-ла I) и его аналоги - безафибрат (II), фенофибрат (III), липантил (IV), а также никотиновая кислота и ее производные-1112-33.jpg-пиридилкарбинол (роникол; V), ксантинола никотинат, инозитолникотинат (VI), холексамин (VII); 2) усиливающие катаболизм и выведение из организма атерогенных липопротеидов - холестирамин (квестран; VIII), колестипол (IX),1112-34.jpg-ситостерин (X), D-тироксин, препараты ненасыщ. жирных к-т; 3) прочие ср-ва - гепариноиды, напр. атероид - смесь полисахаридов, выделенных из слизистой оболочки двенадцатиперстной кишки крупного рогатого скота, нек-рые анаболич. гормоны, напр. оксандралин (XI), а также фосфолипиды. Иногда гиполипидемические средства делят на всасываемые в кишечнике (напр., клофибрат, никотиновая к-та и их производные, D-тироксин) и невсасываемые (холестирамин, колестипол,1112-35.jpg-ситостерин).

1112-36.jpg

Под влиянием клофибрата, никотиновой к-ты и их производных наряду с уменьшением уровня атерогенных липопротеидов наблюдается увеличение в крови антиатерогенных липопротеидов, что значительно снижает вероятность развития атеросклероза.

Механизм действия гиполипидемических средств недостаточно выяснен. Установлено, что никотиновая к-та угнетает синтез ЛПОНП в печени. Клофибрат, кроме этого, затрудняет биосинтез холестерина в печени, увеличивает активность липопротеидлипазы - фермента, участвующего в катаболизме ЛПОНП и холестерина. Холестирамин и колестипол связывают в кишечнике желчные к-ты - продукты катаболизма холестерина, увеличивают их выделение, способствуя тем самым деградации ЛПНП.1112-37.jpg-Ситостерин, конкурируя за места связывания в кишечнике с холестерином, увеличивает выделение последнего из организма. D-Тироксин и препараты ненасыщ. жирных к-т способствуют окислению холестерина в печени.

Синтезированы новые гиполипидемич. ср-ва, обладающие большей эффективностью и менее выраженным побочным действием, напр. гемфиброзил (XII), пантетин [НОСH2С (СН3)2СН (ОН)С(О)NHCH2CH2C (О) NHCH2CH2S—]2.
1112-38.jpg

Литература

Климов А. Н., Рыженков В. Е., в кн.: Клиническая фармакология, под ред. В. В. Закусова, М., 1978, с. 380-92; Климов А. Н., в кн.: Дислипопротеидемии и ишемическая болезнь сердца, под ред. Е. И. Чазова и А. Н. Климова, М., 1980; Иоффе Д. В., Рыженков В. Е., "Химико-фармацевтический журнал", 1981, т. 15, № 10, с. 17-29; Hyperlipidemia: diagnosis and therapy, ed. by B.M. Rifkind, R.I. Levy, N.Y, 1977. B.E. Рыженков.