Противомикробные средства
ПРОТИВОМИКРОБНЫЕ СРЕДСТВА (ПС), лек. в-ва, подавляющие рост и размножение или вызывающие гибель разл. видов микроорганизмов - бактерий, хламидий, грибов, простейших, спирохет, вирусов и т.д. ПС классифицируют по направленности действия (напр., противогрибковые средства, противопротозойные средства, противотуберкулезные средства, противовирусные средства), по области применения (см. Антисептические средства, Дезинфицирующие средства), по способам получения-синтетич. препараты, продукты жизнедеятельности микроорганизмов и их полусинте-тич. производные (см. Антибиотики)и в-ва растит. происхождения.
К последним относят, в частности, сангвиритрин - гидросульфаты алкалоидов сангвинарина и хелетрина, содержащихся в маклее мелкоплодной (Macleaya microcarpa) и мак-лее сердцевидной (Macleaya cordata) семейства маковых (Papaveraceae); хлорофиллит - смесь хлорофиллов листьев эвкалипта (Eucalyptus globulus) семейства миртовых (Муг-taceae), а также настойки и вытяжки из разл. растений-календулы (Calendulae), софоры японской (Sophorae japonicae), лука (Allum сера) и др.
Среди синтетических противомикробных средств в зависимости от хим. строения выделяют следующие осн. группы: 1) производные амида сульфаниловой к-ты (см. Сульфаниламидные препараты) -препараты широкого спектра действия. В микробной клетке ингибируют синтез дигидрофолиевой к-ты.
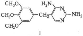
2) Производные диаминопиримидина характеризуются широким спектром антибактериального действия. В микроорганизмах ингибируют синтез тетрагидрофолиевой к-ты. Применяют гл. обр. для потенцирования действия др. ПС (чаще сульфаниламидных препаратов и антибиотиков); при этом предотвращается быстрое развитие лек. резистент-ности (т.е. устойчивости к действию лек. ср-в) микроорганизмов. Важнейшие комбинир. препараты содержат три-метоприм (ф-ла I) и хлоридин.

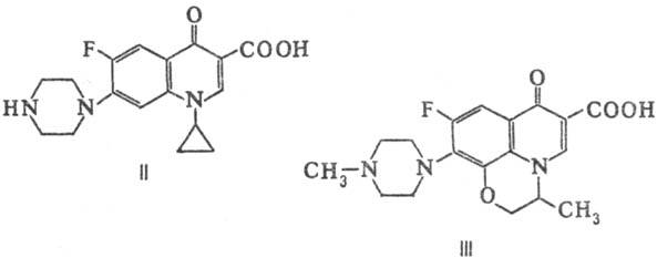
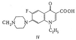
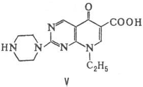
3) Производные 4-хинолон-З-карбоновой к-ты-хиноло-ны имеют широкий спектр антимикробного действия; их степень активности зависит от хим. структуры. Действуют преим. на грамотрицат. бактерии. В микробной клетке ингибируют топоизомеразы и синтез ДНК. Высокой активностью и наиб. широким спектром действия обладают 6-фторхинолоны, напр, ципрофлоксацин (II), офлоксацин (III), пефлоксацин (ГУ)-бесцв. кристаллы, плохо р-римые в воде, метаноле, этаноле, ацетоне. Эти в-ва особенно важны при лечении инфекций, вызванных штаммами, устойчивыми к др. лек. ср-вам. Однако они отрицательно влияют на рост хрящевой ткани, поэтому в педиатрич. практике вместо них применяют не содержащие фтор хинолоны, в частности пипемидиевую к-ту (V).



4) Производные хинолина - активные в отношении плазмодий малярии, трихомонад, лямблий, включают три-хомонаиид, хингамин и аминохинол. К группе производных 8-гидрокси- и 4-оксохинолина относят, в частности, нитрок-салин (VI), энтеросептол, хлорхинальдол (VII), хинозол (сульфат 8-гидроксихинолина; см. 8-Оксихинолин). Эти в-ва активны в отношении бактерий, нек-рых простейших и патогенных грибов.

5) Производные 5-нитрофурана активны в отношении бактерий, нек-рых простейших и патогенных грибов. Тормозят дыхат. процессы в микробной клетке, ингибируют синтез ДНК, частично РНК и белка. Применяются для лечения инфекций мочевых путей, дизентерии, трихомоноза, лям-блиоза. Наиб. важные из них-фурагин (VIII) и фуразолидон (IX; т пл. 255 °С)-желтые горькие кристаллы, плохо раств. в воде, этаноле, раств. в ДМСО.

6) Производные ди-N-оксида хиноксалина обладают широким спектром антибактериального действия, включающим анаэробные спорообразующие и неспорообразующие микроорганизмы. Нарушают синтез ДНК в микробной клетке. Проявляют мутагенное действие. В медицине применяют диоксидин и хиноксидин (X), в ветеринарии ивc. х-ве - квиндоксин (XI) и карбодокс (XII) как пищ. добавки к корму В токсич. дозах эти в-ва могут повреждать надпочечные железы


7) Производные имидазола и триазола-азолы, к к-рым относят, в частности, 5-нитроимидазолы. Последние активны в отношении простейших (трихомонады, дизентерийная амеба, лямблии), анаэробных бактерий, обладают радиосен-сибилизирующей активностью (повышают эффект лучевой терапии) и увеличивают чувствительность организма к алкоголю. Продукты восстановления (под действием нитро-редуктаз) этих лек. ср-в ингибируют синтез и вызывают деградацию ДНК в микробной клетке. Предложено более 20 5-нитроимидазолов, важнейший из к-рых - метронидазол.
Азолы, содержащие в молекуле атомы Cl или F,- высокоэффективные антимитотики, к-рые нарушают нормальный синтез эргостерола в клетке гриба. К препаратам этого ряда относят, в частности, кетоконазол (XIII), фторконазол (XIV) и саперконазол (XV). Эти препараты проявляют также активность в отношении грамположит. бактерий.



Среди ПС имеются в-ва, к-рые не относятся ни к одной из перечисл. групп. Примерами могут служить активные в отношение микобактерий гидразид изоникотиновой к-ты и его аналоги, производные тиоамида изоникотиновой к-ты, n-аминосалициловой к-ты, тиосемикарбазона, этиленди-амина, пиразинкарбоновой к-ты, а также активные в отношении микобактерий лепры сульфоны (4,4'-диаминодифе-нилсульфон NH2C6H4SO2C6H4NH2).
Кроме того, синтезированы соед. с разл. антимикробным спектром и степенью активности, являющиеся производными аллиламина, морфолина, тиокарбаминовой к-ты, пиридона, резорцина, гидроксинафталина, тетрагидрокси-дифенила, флуорена, трииодрезорцина, нафтохинона, индола, тетрагидрокарбазола и др. Микроорганизмы обладают способностью вырабатывать устойчивость к ПС, поэтому постоянно ведется поиск новых лек. ср-в.
ПС применяют для профилактики и лечения инфекционных заболеваний человека и животных, для консервации лек. препаратов, пищ. продуктов, тканей, кожи, дерева, обеззараживания аппаратуры, материалов, помещений.
Лит.: Навашин С. М., Фомина И. П., Рациональная антибиотикоте-рапия, 4 изд., Мм 1982; Машковский М. Д., Лекарственные средства, 11 изд., ч. 2, М., 1988; Падейская Е. Н., "Антибиотики и химиотерапия", 1989, т. 34, № 7, с. 514-21; The Quinolones, ed. by V.T. Andriole, L.-N.Y.-Tokyo, 1988.
Е. Н. Падейская.