Ксантинола никотинат

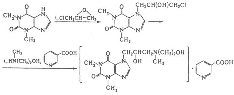
КСАНТИНОЛА НИКОТИНАТ (компламин, ксавин, теоникол, никотинат 7-[2-гидрокси-3-(N-метил-(3-гидроксиэтиламино)пропил] теофиллина, ф-ла I), бесцв. кристаллы; т. пл. 178-182 °С; раств. в воде, плохо - в этаноле. Получают из теофиллина по схеме:
541_560-8.jpg
Ксантинола никотинат расширяет периферии, сосуды, улучшает периферии. и мозговое кровообращение, уменьшает агрегацию тромбоцитов. Применяют для лечения сердечно-сосудистых и др. заболеваний, сопровождающихся нарушениями периферия, кровообращения. Г. Я. Шварц.

Синонимы/примеры:* Компламин; Садамин; Теоникол; Ксавин; Весацил
*подобраны ИИ, возможны неточности
Ещё по теме
Ксантинола никотинат — свойства и применение
Ксантинола никотинат — всё, что нужно знать о препарате
Ксантинола никотинат — инструкция по применению
Ксантинола никотинат — инструкция по применению
Ксантинола никотинат — характеристики и применение
Теонил — показания, противопоказания, побочные эффекты
Контемнол — применение, противопоказания и побочные эффекты
Никотиновая кислота — всё о витамине РР
Никодин — свойства и применение
Никотин — что нужно знать об этом алкалоиде
Никорандил — действие и применение
Никотинамид — свойства и применение
Никотинелл ТТС 10 — применение, противопоказания, побочные эффекты
Континуин — применение и противопоказания
Никотиновая кислота — свойства и применение
Кальципарин — описание, применение, показания
Ксантотоксин — информация и применение