Противоглистные средства
ПРОТИВОГЛИСТНЫЕ СРЕДСТВА (антигельминтики), в-ва, применяемые в медицине и ветеринарии для лечения гельминтозов - заболеваний, к-рые вызываются паразитич. червями-глистами (гельминтами). Кишечные гельминты и их личинки локализуются в организме хозяина в кишечнике, тканевые-в тканях и органах (печени, легких, глазах, мозге и др.). Тканевые гельминтозы труднее поддаются лечению и для нек-рых из них нет удовлетворительных лек. ср-в. Известно неск. десятков гельминтозов человека и более 100 гельминтозов животных, поэтому важна широта спектра действия антигельминтиков (см. табл.).
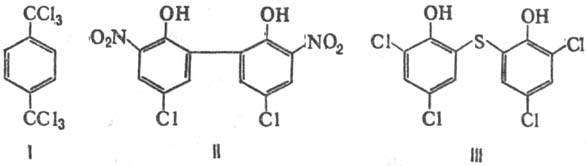
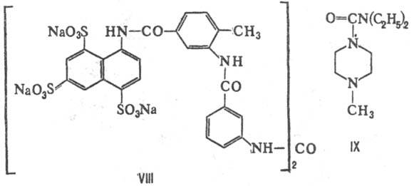
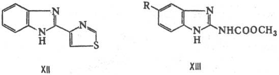
В качестве противоглистных средств применяют: 1) синтетич. орг. соединения производные салициланилида (напр., VII) и 2-винилтетра-гидропиримидина (напр., X), бензимидазолилкарбаматы (XIII), соли пиперазина и др.; 2) препараты растит происхождения, напр. экстракт мужского папоротника Dryopteris fills mas сем. папоротниковых, семена тыквы разных сортов (в т ч Cucurbita pepo), цветки цитварной Польши Artemisia cina сем. сложноцветных, алкалоид эметин; 3) неорг. в-ва (исключительно в ветеринарии)-иод, серу, О2, Sn3(AsO4)2, Na2SiF6, CuSo4 и др. К противоглистным средствам относятся также антибиотики авермектины (макроциклич. лактоны, выделенные из Strep-tomyces avermitilis) и их полусинтетич. аналоги.








Большинство противоглистных средств либо блокируют углеводный обмен гельминтов, либо действуют на их нервно-мышечную систему, не обязательно убивая паразитов, но способствуя их удалению из организма хозяина. Для многих противоглистных средств определены метаболич. процессы, на к-рые они влияют, и ферменты-мишени, но механизм действия большинства противоглистных средств на мол. уровне не установлен.
Лит.: Кротов А. И., Лекарственные препараты, применяемые при паразитарных заболеваниях, М., 1979; Демидов Н. В., Антигельминтики в ветеринарии, М., 1982; Цизин Ю. С., Бронштейн А. М., "Хям.-фармацевт. ж.", 1986,№ 10, с. 1171-90; Машковский М. Д., Лекарственные средства, 11 изд., ч. 2, М., 1988. Ю. С. Цизин.