Манниха реакция
Манниха реакция, замена водорода в органических соединениях на аминометильную
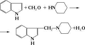
группу (аминометилирование) при действии формальдегида и аммиака (а также аминов или их хлористоводородных солей). В Манниха реакцию вступают различные соединения, содержащие подвижный атом водорода при атоме углерода: альдегиды и кетоны, имеющие водород у a-углеродного атома, производные малоновой кислоты, фенолы, гетероциклические соединения, углеводороды ацетиленового ряда и другие. Ниже приведены уравнения реакций для ацетона и индола; в первом случае использован солянокислый диметиламин, во втором — пиперидин:
CH3COCH3 + CH2O + (CH3)2NH×HCl ® CH3COCH2CH2N(CH3)2×HCl + H2O

Механизм Манниха реакции сводится, по-видимому, к образованию аминометильного катиона, который атакует атом углерода, несущий частичный отрицательный заряд (электрофильное замещение):

Манниха реакция широко применяется в органическом синтезе и используется в промышленности главным образом для получения лекарственных веществ. Реакция открыта в 1917 немецким химиком К. Маннихом (С. Mannich), который показал её общий характер и затем исследовал в течение 30 лет.
Лит.: Органические реакции, перевод с английского, сб. 1, М., 1948, с. 399.
Б. Л. Дяткин.