Малеиновый ангидрид
Как уже было указано, малеиновый ангидрид

легко получается нагреванием малеиновой кислоты. Поэтому он часто образуется тогда, когда можно ожидать первоначального образования малеиновой кислоты, например при контактно-каталитическом окислении воздухом паров бензола и нафталина (в последнем случае малеиновый ангидрид получается наряду с фталевым ангидридом).
Малеиновый ангидрид — кристаллическое вещество (иглы) с т. пл. 52,6° С, перегоняется при 202° С под атмосферным давлением. Он легко растворим в хлороформе и ацетоне; растворяясь в воде, малеиновый ангидрид превращается в малеиновую кислоту.
В технике малеиновый ангидрид используется как один из главных исходных продуктов для получения полиэфирных смол для лаков и пластических масс (стеклопластиков).
Малеиновый ангидрид является характерным реактивом на системы сопряженных двойных связей, чрезвычайно легко образуя продукты присоединения (аддукты) с веществами, содержащими такие связи. Эта реакция была открыта Дильсом и Альдером (1928), а впоследствии изучена и распространена ими на широкий круг веществ. Она получила название «диенового синтеза» и широко применяется для получения циклических соединений, особенно с мостиковыми связями.
Бутадиен, например, присоединяется к малеиновому ангидриду с образованием ангидрида тетрагидрофталевой кислоты. При гидрировании продукта присоединения получается гексагидрофталевая кислота.
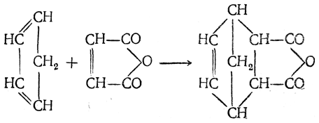
При взаимодействии малеинового ангидрида с циклопентадиеном образуется соединение с метиленовым мостиком в цикле

а с фураном — соединение с кислородным мостиком;

Область применения диеновых синтезов оказалась очень широкой.
Роль компоненты, способной присоединяться к диенам («филодиеновой», или «диенофильной», компоненты), может играть не только малеиновый ангидрид, но и другие системы, содержащие группировку

например n-бензохинон

Диеновые синтезы протекают в очень мягких условиях: обычно достаточно оставить реакционную смесь (при комнатной или несколько повышенной температуре) на 10—20 часов; иногда реакцию проводят в эфирном растворе.
Реакция с малеиновым ангидридом применяется для количественного аналитического определения бутадиена в газах при производстве синтетического каучука.
Продукты присоединения малеинового ангидрида к бутадиену, изопрену и к другим диенам являются кристаллическими веществами и служат для идентификации этих углеводородов.