Робинсона-Манниха реакция
РОБИНСОНА-МАННИХА РЕАКЦИЯ, получение бициклич. непредельных кетонов взаимод. циклич. кетонов с четвертичными солями b-аминокетонов (их получают взаимод. алкилиодидов с соответствующими основаниями Манниха) в присут. оснований (В):

X=H,Alk,Ar,RCOO,ROC(O); R = CH3,C2H5; B = NaNH2,NaOH,RONa; n=2-11
Р-цию проводят в орг. р-рителе (напр., в смеси этанола и эфира). Смесь реагентов обычно выдерживают неск. часов при комнатной т-ре, затем кипятят.
Циклич. кетон можно активировать, превратив его в промежут. a-гидроксиметиленкетон:

Выходы составляют 40-60%.
Механизм Робинсона - Манниха реакции недостаточно изучен. Предполагают, что первоначально при взаимод. четвертичной соли b-аминокетона с основанием образуется алкилвинилкетон, к-рый вступает в р-цию c енолят-анионом, образующимся при действии основания на циклич. кетон, напр.:
•c
Вторая и последующие стадии Робинсона - Манниха реакции-частный случай присоединения по Михаэлю (см. Михаэля реакция).
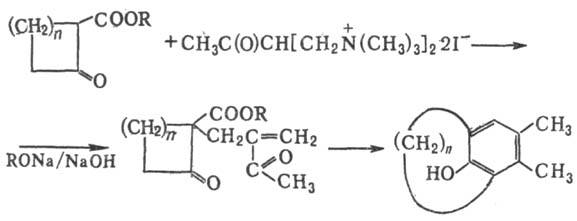
Модификации Робинсона - Манниха реакции: 1) получение мостиковых углеводородов при использовании четвертичных бисоснований Манниха, напр.:

2) Получение бициклич. дикетонов взаимод. циклич. дикетонов с метилвинилкетонами:

3) Синтез бициклич. непредельных кетонов с использованием b-аминокетона или его гидрохлорида, напр.:

Робинсона - Манниха реакцию используют в препаративной практике для синтеза терпенов, конденсир. циклич. углеводородов, соед., родственных стероидам и алкалоидам.
Р-ция открыта Р. Робинсоном и К. Маннихом в 1937.
Лит.: Брестер Дж.Х., Элиель Э.Л., в сб.: Органические реакции,, пер. с англ., сб. 7, М., 1956, с. 146-259; Gawley R. E., "Synthesis", 1976, № 12, p. 777-94. Г. И. Дрозд.