Мукополисахариды
Мукополисахариды получили свое название потому, что ряд веществ этого класса имеет слизистую консистенцию (тисоr — лат. слизь). Для мукополисахаридов характерно наличие в их молекулах значительного количества остатков аминосахаров и уроновых кислот. Мукополисахариды обычно связаны с белками, образуя солеобразные или более прочно построенные (за счет ковалентных связей) соединения. Важнейшими представителями этой группы гетерополисахаридов являются гиалуроновая кислота, хондроитинсерные кислоты и гепарин.
Гиалуроновая кислота была выделена из стекловидного тела глаза, синовиальной жидкости (жидкость в полости суставов), из гемолитического стрептококка и т. д. Она имеет молекулярный вес порядка 106. При кислотном гидролизе этой кислоты получаются эквимолекулярные количества глюкозамина, глюкуроновой кислоты и уксусной кислоты. Ферментом гиалуронидазой она гидролизуется с образованием глюкуроновой кислоты и N-ацетилглюкозамина. Исследования последних лет показали, что молекула гиалуроновой кислоты состоит из чередующихся остатков глюкуроновой кислоты и N-ацетилглюкозамина, соединенных связями β-1,3'; эти фрагменты соединены связями β-1,4':

Цепь, по-видимому, не разветвлена.
Роль гиалуроновой кислоты в животных организмах очень велика. Вследствие высокой вязкости она понижает проницаемость тканевых оболочек и препятствует проникновению в ткани болезнетворных микроорганизмов. Расщепление гиалуроновой кислоты под влиянием содержащейся в сперме гиалуронидазы играет важную роль в процессе оплодотворения.
Хондроитинсерные кислоты, или хондроитинсульфаты, выделены из различных видов соединительной ткани.
Хондроитинсульфаты А и С (из хрящей, трахеи, костей, аорты и т. д.) дают при гидролизе приблизительно эквимолекулярные количества галактозамина, глюкуроновой, серной и уксусной кислот. При частичном гидролизе можно выделить из них так называемый хондрозин — азотсодержащую альдобиуроновую кислоту, в молекуле которой уроновая кислота связана с альдозой β-1,3' -связью (Мазамуне, К. Мейер).
В хондроитинсульфатах А и С остатки хондрозина соединены между собой β-1,4'-связями. По-видимому, хрящи состоят из солей хондроитинсерных кислот А и С, связанных с белками.
Хондроитинсульфат В, выделенный вначале из кожи, а потом и из других источников, отличается от хондроитинсерных кислот А и С прежде всего тем, что в нем вместо глюкуроновой кислоты содержится L-идуроновая кислота.

Хондроитинсерная кислота В обладает способностью задерживать свертывание крови, но эта способность выражена у нее слабее, чем у гепарина (см. ниже).
Mукоитинсерная кислота, выделенная из слизистой оболочка желудка, стекловидного тела, роговицы глаза и т. д., по-видимому, отличается от хондроитинсерных кислот тем, что в ней вместо остатков хондрозамина содержатся остатки глюкозамина. Функция мукоитинсерной кислоты в организме пока остается неизвестной.
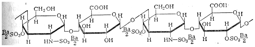
Гепарин — гетерополисахарид, широко распространенный в тканях животного организма и в особенно значительных количествах содержащийся в печени, сердце, мышцах, легких (от латинского слова hepar — печень и произошло название вещества). Уже ничтожные количества гепарина задерживают свертывание крови, т е. он является мощным природным антикоагулянтом. Благодаря этому свойству гепарин получил практическое применение в медицине. В последние годы были получены кристаллические препараты гепарина.
Структурной единицей молекулы гепарина является тетрасахарид, состоящий из остатков глюкозамина и глюкуроновой кислоты и содержащий пять остатков серной кислоты (Уолфром и др.). Три остатка серной кислоты содержатся в виде сложных эфиров, и два связаны с аминогруппами по типу сульфаматов (сульфаматы — соли или эфиры сульфаминовой кислоты R —NH—SO2OH).
Для бариевой соли гепарина предложена следующая формула:

Полисульфаты некоторых других полисахаридов (например, целлюлозы и хондроитина), также обладающие довольно сильным действием антикоагулянтов (более слабым, чем у гепарина), отличаются от гепарина большей токсичностью.
К гетерополисахаридам относятся также многие полисахариды бактерий и в частности иммунополисахсриды, выделяемые бактериями и играющие важную роль (наряду с токсинами — веществами белковой природы) в создании иммунитета — невосприимчивости к определенной болезни. Сюда же относятся специфические полисахариды, определяющие группы крови.
К мукополисахаридам близки мукопротеины, гидролизующиеся с образованием аминокислот и большого количества моносахаридов, в частности аминосахаров. Например, японский ученый Ямашина показал, что электрофоретически однородный фермент энтерокиназа содержит (данные хроматографического исследования гидролизата) более 30% углеводов, в том числе свыше 12% аминосахаров.