Бензопираны

БЕНЗОПИРАНЫ (хромены). Существуют только в виде производных двух изомеров - бензо1052-36.jpgпирана (2H-хромена, ф-ла I) и бензо1052-37.jpgпирана (4H-хромена, II). Важнейшие производные: бензопирилия соли, кумарин (III) и бензо1052-38.jpgпирон (хромон, IV).
1052-39.jpg

Бензопираны - неустойчивые соед.; под действием окислителей в кислом р-ре образуют соли бензопирилия, напр.:
1052-40.jpg

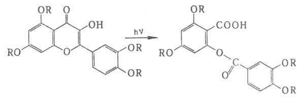
При окислении КМnО4 бензопираны превращ. в кумарины или хромоны. Действие Н2О2 в щелочной среде и фотохим. р-ция с синглетным кислородом приводит к расщеплению цикла, напр.:
1052-41.jpg

При каталитич. гидрировании производные 2Н- и ЗH-хроменов образуют хроманы, напр.:
1052-42.jpg

Бензопираны легко присоединяют нуклеоф. агенты в положение 2, реактивы Гриньяра - в положения 2 и 4.

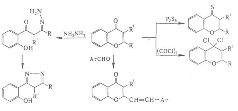
Хромоны устойчивы к действию электроф. агентов. Нитруются в жестких условиях в положение 6; под действием света присоединяют алкены по двойной связи гетерокольца; вступают в р-цию с альдегидами; при взаимод. с гидразином образуют производные пиразола; при р-ции с P2S5 дают соотв. тиохромоны и 4,4-дихлорхромены по схемам:
1052-43.jpg

2H-Хромены получают нагреванием производных резорцина с ненасыщ. альдегидами в присутствии пиридина:
1052-44.jpg

2,2-Дизамещенные синтезируют из салицилового альдегида и 1,1-диарилэтилена в присутствии НС1О4 и СНзСООН:
1052-45.jpg

3H-Хромены получают действием уксусного ангидрида или Na2SO4 на1052-46.jpg(огидроксифенил)этилалкил- или арилкетоны по р-ции:
1052-47.jpg

Хромон синтезируют мягким окислением хромана; его производные - конденсацией фенолов с эфирами1052-48.jpgкетокислот:
1052-49.jpg

Структура бензопиранов-фрагмент нек-рых алкалоидов, флавоноидов, токоферолов, антоцианов. Производные хромена и хромона относятся к витаминам группы Р (рутин, квертицин, рамнетин), являются спазмолитич. и гипотензивными ср-вами (келлин, карбохромен).

Литература

Гетероциклические соединения, пер. с англ., т. 2, М., 1954, с. 275-85. Е. Н. Караулова.

Синонимы/примеры:* Кумарины; Хромены
*подобраны ИИ, возможны неточности