Пироны
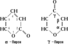
Пироны, кетопираны, гетероциклические соединения, оксопроизводные пиранов. Простейшие пироны — a-пирон (кумалин, бесцветная жидкость с запахом свежего сена, tкип 206—209 °С) и g -пирон (бесцветные кристаллы, tnл 31—32 °С).

Пироны — весьма реакционноспособные соединения; например, они взаимодействуют с аммиаком и первичными аминами, легко восстанавливаются; a-пирон вступает в реакцию Дильса — Альдера (см. Диеновый синтез). Пироны можно получить декарбоксилированием их производных — пиронкарбоновых кислот (соответственно кумалиновой и хелидоновой). Производные пиронов широко распространены в природе: в бобах тонка содержится бензо-a-пирон (кумарин), в опии — меконовая кислота, в соке чистотела — хелидоновая кислота; некоторые пигменты растений являются производными g-пирона.

Рис. к ст. Пироны.
Комментарии*
Дополнения к описанию пиронов:
- Структура: Пироны представляют собой ненасыщенные шестичленные циклические эфиры (лактоны). Их структура содержит атом кислорода в кольце и карбонильную группу (C=O), что делает их ароматическими системами с низкой энергией резонанса.
- Биологическая значимость: Производные пиронов являются ключевыми структурными элементами многих важных природных соединений:
- Флавоноиды: Большой класс растительных пигментов и антиоксидантов (например, кверцетин, рутин).
- Хромоны: Структурный мотив многих биологически активных молекул.
- Антоцианы: Пигменты, отвечающие за красную, синюю и фиолетовую окраску цветов и фруктов.
- Применение: Синтетические производные пиронов находят применение в фармацевтике (например, в качестве антикоагулянтов, производных кумарина) и используются в качестве ароматизаторов и парфюмерных отдушек.
*Подобраны с помощью LLM, верифицированы, но возможны неточности.
Синонимы/примеры:*
2H-пиран-2-он; 4H-пиран-4-он
*подобраны ИИ, возможны неточности
Дополнения к описанию пиронов: