Бензопирилия соли

БЕНЗОПИРИЛИЯ СОЛИ (соли хромилия), содержат в молекуле катион бензопирилия структуры I или II. Хим. св-ва этих структур различны вследствие фенольного характера кислорода в I и кетонного - во II
1053-6.jpg

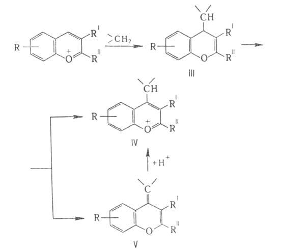
Соед. I не обменивает атом кислорода на др. гетеро-атомы и не превращ. в замещенные нафталина. Из его производных наиб. реакционноспособны соли со своб.1053-7.jpgи1053-8.jpg положениями или содержащие в этих положениях функц. группы (Cl, OR и др.). Атака нуклеоф. агентов (метиленовые соед., эфиры фенолов, диалкиланилины, аминокислоты и др.) по1053-9.jpgположению приводит к образованию аддукта III, новой соли бензопирилия IV или ее ангидроосновання V:
1053-10.jpg

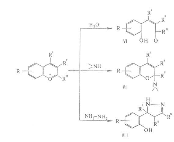
Присоединение нуклеофила в1053-11.jpgположение обычно ведет к образованию о-гидроксихалконов (VI), аддуктов VII или VIII, напр.:
1053-12.jpg

Соед. I способны к димеризации через присоединившийся нуклеофил,1053-13.jpg и1053-14.jpgалкильные группы либо непосредственно через гетерокольцо.

Для соед. II нуклеоф. присоединение идет в1053-15.jpgположение с образованием после рециклизации новой гетероциклич. системы (IX) или1053-16.jpgпроизводных нафталина (X), реже - в положение1053-17.jpg с образованием1053-18.jpgпроизводных нафталина, напр. (XI):
1053-19.jpg

1-Метилзамещенные II со своб.1053-20.jpgположением легко образуют замещенные хризены, напр.:
1053-21.jpg

где R = Alk, Аг.

Общим для бензопирилия солей обеих структур является существование в их р-рах равновесия между ионной формой и псевдооснованием, а при наличии1053-22.jpg или1053-23.jpgалкильных групп - ангидрооснованием, напр.:
1053-24.jpg

Получают бензопирилия соли из соед., содержащих пирановый цикл, а также конденсационными методами, напр.:
1053-25.jpg

Полигидроксизамещенные I-структурные фрагменты антоцианов. Соед. II в природе не найдены.

Бензопирилия соли - ингибиторы коррозии, фото- и термохромы, сенсибилизаторы, люминофоры. Нек-рые бензопирилия соли используются в синтезе изохинолиновых оснований и прир. алкалоидов.

Литература

Джоуль Д., Смит Г., Основы химии гетероциклических соединений, пер. с англ., М., 1975; Щербакова И. В., Кузнецов Е. В., Химия гетероциклических соединений. 198Z № 4, с. 552-53; Коробка И. В.. Кузнецов Е. В.. там же, 1983, № 2, с. 274-81; Balaban А.Т. [а. о.]. Advances in hetcrocyclie chemistry, Suppl. 2, N.Y., 1982; Sham ma M., MoniotJ.-L. Isoquinoline alkaloids research. 1972-1977, N.Y.. 1978. Е.В.Кузнецов.

Синонимы/примеры:* Бензопирилия бромид; Бензопирилия йодид
*подобраны ИИ, возможны неточности