Аминогалогенантрахиноны
АМИНОГАЛОГЕНАНТРАХИНОНЫ, кристаллы (см. табл.) от оранжевого до темно-красного цвета; не раств. в воде, раств. в хлороформе, нитробензоле, ДМФА, конц. H2SO4, плохо - в спирте. В видимой области спектра имеют одну полосу поглощения при 430-505 нм.
Атомы галогена в аминогалогенантрахинонах способны легко замещаться на амино- и меркаптогруппы, арильные группы по Ульману, как правило, в присут. Си и ее солей. Эти р-ции широко используют в пром-сти для получения красителей. Так, 1-амино-2,4-дибромантрахинон или 1-метиламино-4-бромантрахинон с n-толуидином при 110-120°C в присут. СН3СООК и (CH3COO)2Cu образуют соотв. 1-амино-2-бром-4-n-толуидиноантрахинон (ф-ла II; R = Н), сульфированием к-рого получают голубой кислотный краситель, и 1-метиламино-4-n-толуидиноантрахинон (II; R = CH3) - дисперсный синий краситель.
ТЕМПЕРАТУРЫ ПЛАВЛЕНИЯ И МОЛЕКУЛЯРНЫЕ МАССЫ АМИНОГАЛОГЕНАНТРАХИНОНОВ
| Заместитель и его положение в ядре антрахинона (ф-ла F) | Мол. M. | Т. пл., °C | |
| NHR | Hal | ||
| 1-NH2 | 2-C1 | 256,67 | 197 |
| 1-NH2 | 4-Cl | 256,67 | 180 |
| 1-NH2 | 5-Cl | 256,67 | 219 |
| 2-NH2 | 1-Cl | 256,67 | 237 |
| 2-NH2 | 3-Cl | 256,67 | 311 |
| 1-NH2 | 2-Br | 302,13 | 182 |
| 1-NH2 | 2-Br, 4-Br | 381,04 | 226 |
| 2-NH2 | 1-Br, 3-Br | 381,04 | 249 |
| 2-NH2 | 1-Br, 3-CI | 336,58 | 212 |
| 1-CH3NH | 4-Br | 316,16 | 194 |
1 - Метиламине - 4 - бромантрахинон используют также для произ-ва 3-метил-6-бромантрапиридона - сырья в произ-ве красных и фиолетовых красителей для синтетич. волокон (см. также Полициклические кубовые красители).
2 - Амино -1,3 - дибромантрахинон или 2-амино-1-бром-3-хлорантрахинон в среде нитробензола в присут. Си при 180-200°С подвергаются межмол. ара-минированию с образованием соотв. дибром- или дихлориндантрона - кубовых красителей голубого цвета (III).
Моногалогенаминоанттрахиноны обычно способны к дальнейшему галогенированию, напр. 1-амино-2-хлор- и 1-амино-2-бромантрахиноны при взаимод. с Вг2 в разбавленной H2SO4 образуют 1-амино-2-хлор-4-бромантрахинон и 1-амино-2,4-дибромантрахинон - исходные продукты в синтезе синих, фиолетовых и розовых кислотных и дисперсных красителей.
1-Амино-5-хлорантрахинон реагирует с бензоилхлоридом, превращаясь в 1-бензоиламино-5-хлорантрахинон-сырье для получения антрамидов и кубовых красителей на их основе.
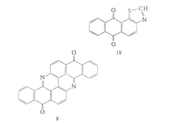
2-Амино-1-хлорантрахинон при взаимод. с Na2S образует 1-меркапто-2-аминоантрахинон - исходный продукт для получения желтых кубовых красителей, являющихся производными антрахинонтиазола (ф-ла IV), а 2-ацетиламино-1-хлорантрахинон в присут. Си в среде трихлорбензола при 180oC конденсируется с образованием 2,2'-диацетиламино-1,1'-диантрахинонила, к-рый после одновременного омыления и циклизации в конц. H2SO4 превращ. в флавантрон (V) - желтый кубовый краситель и пигмент в полиграфии.
В пром-сти 1-амино-2-хлор-, 2-амино-1-хлор-, 1-амино-2-бром-, 1-амино-2,4-дибром-, 2-амино-1,3-дибром- и 1-метиламино-4-бромантрахиноны получают галогенированием в H2SO4 соответствующих аминоантрахинонов, а 2-амино-1-бром-3-хлорантрахинон - бромированием 2-амино-З-хлоран-трахинона. Последний получают циклизацией З-амино-4-хлорбензофенон-2'-карбоновой к-ты (VI) в среде H2SO4; побочно образуется 1-амино-2-хлорантрахинон; амины разделяют дробным осаждением.
1-Амино-4-хлорантрахинон получают хлорированием 1-бензоиламиноантрахинона с послед. гидролизом образовавшегося 1-бензоиламино-4-хлорантрахинона (промежут. продукт при получении кубовых красителей) в конц. H2SO4; 1 -амино-5-хлорантрахинон - восстановлением 1 -нитро-5-хлорантрахинона кипячением в водном р-ре Na2S.
Литература
Ворожцов Н. Н., Основы синтеза промежуточных продуктов и красителей, 4 изд., М., 1955; Эфрос Л. С., Горелик М. В., Химия и технология промежуточных продуктов, Л., 1980. С. И. Попов.