Хироптические методы
ХИРОПТИЧЕСКИЕ МЕТОДЫ, объединяют родственные оптич. методы исследования оптически активных (хиральных) соед.: поляриметрию (ПМ), дисперсию оптич. вращения (ДОВ) и круговой дихроизм (КД). Хироптические методы основаны на взаимод. поляризованного света с хиральными структурами, к-рые обладают естественной оптич. активностью, т. е. вращают плоскость поляризации проходящего через них поляризованного света.Плоскополяризованную световую волну можно представить как комбинацию левого и правого поляризованных по кругу лучей с соответствующими векторами Еl и Еr. Если взаимод. левого и правого поляризованных по кругу лучей со средой одинаково (это характерно для изотропных сред), то векторы имеют одинаковые величины (рис. 1, а).
Когда поляризованный свет проходит через анизотропную (хиральную) среду, то один из этих лучей распространяется быстрее другого, в результате чего суммарный вектор оказывается повернутым на нек-рый угол a, тем больший, чем больше разность скоростей распространения света в среде, т. е. показателей преломления nl и пr лучей, поляризованных по кругу влево и вправо. Это явление наз. двойным круговым (циркулярным) лучепреломлением (рис. 1, б).
Рис.1. Схема возникновения оптич. активности и эллиптичности: а - плоскополяризованный луч; б - плоскополяризованный луч после прохождения через оптически активное в-во (без КД); в - эллиптически поляризованный луч; г -эллиптически поляризованный луч после прохождения через оптически активное в-во (с КД).
Левый и правый поляризованные по кругу лучи по-разному поглощаются средой, т. е.
, где
и
- коэффициенты экстинции для лучей с левой и правой круговой поляризацией. Суммирование соответствующих им векторов неравной величины Elи Еr дает результирующий вектор, конец которого описывает эллипс (рис. 1, в), т. е. плоскополяризованный свет после прохождения через хиральную среду становится эллиптически поляризованным. Это явление наз. круговым дихроизмом. Количеств. мерой этого явления служит угол эллиптичности j, тангенс к-рого равен отношению осей эллипса.
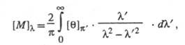
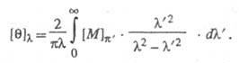
Поскольку угол j очень мал по величине, то принимают
и, проводя преобразования, получают
в радианах, где
- длина волны падающего света в вакууме, l - толщина слоя в см. Так как оба явления - двойное круговое лучепреломление и круговой дихроизм происходят одновременно, то суммарно эффект прохождения плоскополяризованного света через хиральную среду описывается эллипсом с вращающейся главной осью (рис. 1, г).
Для характеристики оптически активных в-в методом поляриметрии используют величины удельного и молярного оптич. вращения (см. Оптическая активность). Величины оптич. вращения зависят от длины волны применяемого света. Эта зависимость наз. дисперсией оптич. вращения.
В методе КД используют величину дихроичного поглощения
где D - оптич. плотность кругового дихроизма; с - концентрация в моль/л, и величину эллиптичности
Эти две величины связаны между собой соотношением
Техника измерения. Оптич. вращение измеряют с помощью поляриметра. Луч источника света (натриевой или ртутной лампы) при прохождении через поляризатор -призму Николя или пленки - поляризуется в плоскости. Поляризованный свет пропускается через кювету с в-вом и попадает в анализатор (тоже призма Николя). Если плоскости поляризации обеих призм расположены друг относительно друга под прямым углом, то поляризованный свет в отсутствие оптически активного в-ва через анализатор не проходит. Чтобы поляризованный свет не проходил через анализатор после помещения в прибор оптически активного в-ва, анатизатор необходимо повернуть на нек-рый угол вправо или влево. Этот угол и представляет собой наблюдаемое оптич. вращение, к-рое затем пересчитывается в удельное
или мол. вращение
Для измерения ДОВ и КД используют спектрополя-риметрыи дихрографы. Они имеют устройство, аналогичное поляриметру, с тем отличием, что источник света (ксеноновая лампа) в них сочетается с монохроматором, позволяющим проводить измерения в области 1000-175 нм. В дихрографах имеется также устройство для определения дихроичного поглощения (измерение
) или устройство для преобразования плоскополяризованного света в эллиптически поляризованный (измерение
). Приборы снабжены автоматич. фотоэлектрич. регистрирующим устройством.
Спектры ДОВ и КД. Хироптич. явления по своей природе связаны с электронными переходами в хиральных молекулах. Для их интерпретации существенно, что появление индивидуальных полос в УФ спектрах обусловлено возбуждением электронов, принадлежащих соответствующим функциональным группам, называемым хромофорами. Для соед. без хромофоров в исследуемой области спектра
или
(рис. 2) монотонно возрастает или падает с уменьшением длины волны. Такие кривые ДОВ называются соотв. плавными положительными или плавными отрицательными.
Плавные кривые ДОВ м. б. описаны ур-нием Друде, к-рое справедливо для области, далекой от полосы поглощения. В общем виде для соед. с неск. хромофорами ур-ние Друде имеет вид:
где Аi - соответствующие константы;
- полосы поглощения i-тых хромофоров. По данным ДОВ с использованием ур-ния Друде можно определить положение полосы поглощения, лежащей в спектральной области, недоступной для непосредственных измерений.
В области полосы поглощения наблюдается аномальный ход кривой ДОВ: оптич. вращение возрастает с уменьшением длины волны, проходит через максимум (пик), затем падает, пересекает ось нулевого вращения, достигает минимума (впадина) и снова возрастает (рис. 2). Такой S-образный ход кривой ДОВ наз. эффектом Коттона (открыт А. Кот-тоном в 1896). В спектрах КД эффект Коттона проявляется в виде полосы дихроичного поглощения, обычно в области полос поглощения, характерных для определенных хромофоров, к-рые наз. оптически активными.
Эффект Коттона характеризуется: а) положением максимума в спектре КД (при длине волны
на рис. 2) и положением пика или впадины (соотв.
и
) на кривой ДОВ, при этом максимум КД (или средняя точка на кривой ДОВ) в случае изолированного хромофора совпадает с максимумом в УФ спектре; б) знаком - эффект Коттона положителен, если в длинноволновой области спектра наблюдается пик, и отрицателен, если в длинноволновой области расположена впадина; в) эллиптичностью в спектре КД в точке максимума
или амплитудой а, к-рая определяется как разность между величинами мол. вращений в точках пика и впадины, деленная на 100:
где
; г) полушириной полосы поглощения в спектре КД
при
или шириной b для кривой ДОВ; д) вращательной силой Ri, к-рая характеризует вклад данного электронного перехода в оптич. активность, т. е. степень асимметрич. воздействия элемента хиральности, имеющегося в молекуле, на хромофор.
Рис. 2. Спектры ДОВ (кривые 1А, 1Б), КД (2А, 2Б) и УФ (3); кривые А -положительные, Б - отрицательные эффекты Коттона.
Вращат. сила R определяется как скалярное произведение электрич.
и магнитного
дипольных моментов электронного перехода:
где
- угол между
и
Экспериментально R находят из спектров КД. Проблема определения R сводится к интегрированию площади под дихроичной полосой, получаемой при регистрации спектров КД. С учетом гауссовой формы кривой КД для расчета R предложена ф-ла:
Величина R м. б. рассчитана также из ур-ния Друде по ф-ле:
Эффект Коттона, связанный с одним и тем же электронным переходом, имеет одинаковый знак как для ДОВ, так и для КД. Энантиомеры дают зеркально-симметричные кривые ДОВ и КД. При наложении неск. эффектов Коттона получаются сложные кривые ДОВ и КД (см. ниже). Параметры спектров ДОВ и КД связаны между собой соотношениями Кронига - Крамерса. Для одного изолированного перехода (при
) они м. б. записаны упрощенно:
Информация о конфигурации и конформациях хиральных соед., получаемая методами ДОВ и КД, и техника измерения в основном одинаковы. Однако спектры ДОВ более сложны по форме и поэтому труднее интерпретируются. На их измерение больше влияют такие факторы, как загрязнения, мутность р-ра и др. Для количесгв. расчетов лучше использовать спектры КД. Но КД наблюдается только в области полос поглощения хромофоров. Поэтому для обнаружения оптич. активности лучше применять ДОВ. Для измерения применяют р-рители, не поглощающие в исследуемой области. Толщина кювет (слоя) меняется от 10 до 0,01 см. В коротковолновой области (
< 250 нм) обычно используют концентрации р-ров порядка 0,1%. Для избежания ошибок желательно, чтобы оптич. плотность измеряемого р-ра не превышала 2.
Эффекты Коттона возникают благодаря присутствию хромофорных группировок в молекуле. Исходя из соображений симметрии, различают два типа хромофоров в оптически активных молекулах: 1) внутренне диссимметричные хромофоры, т. е. хромофоры, не имеющие в силу своей структуры центра или плоскости симметрии; 2) внутренне симметричные хромофоры, но диссимметрично возмущенные хиральным окружением в молекуле.
Хромофоры первого типа, как правило, дают интенсивные эффекты Коттона, знаки к-рых связаны с хиральностью самого хромофора. Примером внутренне диссимметричных хромофоров являются хромофоры, содержащие изолированные или сопряженные
-системы, скрученные вследствие наличия определенных структурных или конформационных требований, напр. соед. ф-лы I, гелицены (ф-лу см. в ст. Хиральностъ). В этих хромофорах электронная сисгема связей сама по себе хиральна и обусловливает возможность проявления очень сильных эффектов Коттона (
~ 10-100). При этом правоспиральная конформация сопряженных диенов обнаруживает положит. эффект Коттона, а левоспираль-ная - отрицат. эффект Коттона. Природа заместителей при двойных связях значительно слабее влияет на характер ДОВ и КД, чем хиральность хромофорной системы.
В сочетании с электронными спектрами удается определить не только хиральность системы, но и углы поворота сопряженных групп, поскольку они заметно влияют на интенсивность поглощения. Описанные закономерности для хромофоров первого типа используют при анализе структур разл. природных соед., таких, как стероиды, терпены и др.
Эффекты Коттона, связанные с внутренне симметричными хромофорами второго типа, дают ценную информацию о расположении группировок, окружающих хромофор. В молекулах с такими хромофорами интенсивность и знак эффекта Коттона в спектрах ДОВ и КД сильно зависят от их ближайшего окружения. Примеры таких хромофоров - ненапряженные изолированные двойные связи, = СО, — О —, — COOR, — SCN.
Правило октантов. Связь между знаком и величиной (полуколичественно) наблюдаемого эффекта Коттона с конфигурацией или конформацией хирального в-ва выражается в виде полуэмпирич. правил. Наиб. часто применяют правило октантов для кетонного хромофора. Для этого хромофора наблюдается слабо интенсивный
переход в области 290 нм, обусловленный возбуждением электрона несвязывающей 2рх-орбитали и переходом его на разрыхляющую
-орбиталь, образованную двумя 2рх-орбиталями атомов углерода и кислорода карбонильной группы. Одна 2рх-орбиталь лежит в плоскости yz, ее узловой плоскостью (или нулевой пов-стью) является плоскость xz (А; см. рис. 3, а). Вторая 2рх-орбиталь лежит в плоскости xz и имеет две узловые пов-сти: плоскость yz (В)и неплоскую пов-сть (С), проходящую через центр связи С = О перпендикулярно ей. Пересечение этих трех пов-стей, к-рые считаются в первом приближении плоскими, делит молекулу циклогексанона в конформации кресла на 8 октантов.
На основании эксперим. данных ДОВ и КД кетонов известной конфигурации и конформации было установлено, что атомы или группы атомов, расположенные в дальних (за плоскостью С) левом (Л) верхнем и правом (П) нижнем октантах, дают положит. вклад в эффект Коттона, а атомы или группы атомов, расположенные в дальних правом верхнем и левом нижнем октантах, дают отрицат. вклад в эффект Коттона. Заместители, попадающие в одну из плоскостей (А, В, С), не дают вклада [аксиальный (а) и экваториальный (э) заместители у атома С-4 находятся в плоскости А; экваториальные заместители у атома С-2 находятся практически в плоскости В]. Знаки ближних октантов противоположны знакам дальних октантов.
Обычно используют не трехмерное изображение, а его проекцию на плоскость ху (рис. 3, б), т. к. для большинства соед. все заместители и фрагменты циклич. системы располагаются в дальних октантах за плоскостью С. Атомы фтора и дейтерия дают вклады противоположного знака по сравнению со всеми др. заместителями. Напр., (+)-3-метилциклогексанон (ф-ла II) может существовать в виде двух взаимопревращаемых конформеров (IIа и IIб). Для соед. IIа правило октантов предсказывает отрицат. эффект Коттона, а для IIб -положит. эффект Коттона (рис. 3, в). Экспериментально наблюдаемый положит. эффект Коттона для соед. II свидетельствует о существовании в-ва П в виде конформера с экваториальной группой СН3 (IIб), что находится в соответствии с требованием конформационного анализа.
Рис. 3. Схема применения правила октантов: а - циклогексанон в конформации кресла, маленькие круги - атомы С, большой - атом О; б - проекция ф-лы циклогексанона на плоскость ху; в - (+)-3-метилциклогексанон ф-лы II.
Хорошее соответствие между наблюдаемыми знаками эффекта Коттона и предсказываемыми на основании правила октантов видно на примере (+)-8-метилпергидро-5-инданона, имеющего транс-сочленение колец, к-рый может существовать в виде изомеров Ша и Шб (рис. 4). В соответствии с октантными диаграммами только первый дает положит. эффект Коттона, соответствующий наблюдаемому экспериментально.
Рис. 4. Возможные конформации (+)-транс-8 метилпергидро-5-инданона и соответствующие октантные диаграммы.
Если известна конфигурация хиральных центров, то на основании правила октантов можно сделать вывод о конформации молекулы. Так, (2R, 5R)-2-хлор-5-метилциклогексанон (ф-ла IV) проявляет положит. эффект Коттона в метаноле и отрицат. в изооктане (рис. 5, а). Из рассмотрения октантных диаграмм видно, что отрицат. эффект Коттона характерен для диаксиальной конформации (IV б), а положительный - для диэкваториальной (IV а), т. е. в изооктане имеется диаксиальный конформер, вклад к-рого настолько больше вклада диэкваториального конформера, что именно он определяет наблюдаемый знак эффекта Коттона.
Рис. 5. Применение правила октантов для случая конформационного равновесия (+)-транс-2-хлор-5-метилциклогексанона: а - ДОВ в метаноле (кривая 1) и изооктане (2); б - КД в смеси диэтиловый эфир - изопентан - этанол при -192 оС (1) и 25 °С (2), в СС14 (3) и изооктане (4); в - октантные диаграммы для конформеров IVa и IVб.
Соотношение двух конформеров IVa и IVб было рассчитано на основании данных КД в широком интервале т-р (рис. 5, б). Оказалось, что в р-ре метанола присутствует 97% диэкваториального конформера, а в р-ре изооктана ~ 88%. Несмотря на то, что полосы поглощения двух конформеров отстоят друг от друга на 20 нм, в УФ спектре имеется только одна широкая полоса поглощения вследствие перекрывания в области 290 нм, в то же время на кривой КД отчетливо видны две полосы.
Изменение знака эффекта Коттона под влиянием р-рителя не всегда связано с конформационными изменениями; оно м. б. также связано с эффектами сольватации. Напр., жесткая молекула изофенхона обнаруживает значит. изменение спектров КД при переходе от этанола к изооктану. Правило октантов позволяет не только предсказывать знак эффекта Коттона, но и приблизительно оценить его величину на основании многочисленных данных ДОВ и КД для кетонов разл. строения (моно-, би- и полициклических).
Правило октантов применяют не только к шестичленным циклич. кетонам, но также и к циклопентанонам, циклобутанонам и циклогептанонам, в ряде случаев его использовали для анализа КД ациклич. хиральных кетонов, напр. для алкил(втор-бутил)кетонов.
Вклады атомов или групп атомов в наблюдаемый эффект Коттона приблизительно пропорциональны их атомным рефракциям (см. Рефракция молярная). Для связи С — Н этот параметр мал, поэтому им пренебрегают при интерпретации спектров ДОВ и КД. Атомная рефракция фтора меньше, чем водорода, благодаря чему вклады связей С — F должны характеризоваться противоположным знаком, что и наблюдалось экспериментально. Положит, вклады в эффект Коттона дают С1, Вг, группа СН3, отрицательные - фтор. Аналогичные правила предложены для др. хромофоров (олефинов, лактонов, тиоцианатов, нитрозосоединений, ароматич. соед.), что позволяет коррелировать данные ДОВ и КД с конфигурацией и конформацией этих соединений. Указанные правила связаны с эффектом Коттона изолированных хромофоров. Однако если в молекуле имеется более одного хромофора, то между ними возможно взаимодействие. Это приводит к появлению в спектрах ДОВ или КД в области полосы поглощения изолированного хромофора двух полос (куплет КД) примерно одинаковых по интенсивности, но противоположных по знаку (так называемое экситонное расщепление).
Корреляцию знака эффекта Коттона с хиральностью хромофора обычно получают эмпирически в виде соответствующих правил. Напр., установлено такое правило для
-ненасыщенных кетонов: положит. длинноволновому максимуму в куплете КД соответствует конформация, скрученная по правой спирали, а отрицательному - по левой. Этo правило носит назв. правила экситонной хиральности. Его широко применяют для определения абс. конфигурации (напр., бензоатное правило для диолов), конфигурации и конформации природных соединений. Особенно часто эффект экситонного расщепления встречается в спектрах белков и нуклеиновых к-т. Методы ДОВ и КД позволяют определять содержание вторичных структур в белках и полипептидах.
Хироптические методы применяют как для анализа оптически активных соед. (напр., сложных стероидных структур - промежут. продуктов в синтезе важных гормональных препаратов, для к-рых стереохим. аспект имеет решающее значение), так и оптически неактивных. В последнем случае используют соответствующие хиральные реагенты, позволяющие превратить оптически неактивные анализируемые соед. в оптически активные, для к-рых эффект Коттона проявляется в доступной для измерения области.
Для нек-рых соединений электронные переходы лежат в области, не всегда доступной для измерений (спирты, углеводороды), что существенно ограничивает возможности изучения КД этих в-в. Однако источником стереохим. информации о хиральных молекулах м. б. не только электронные переходы, но и переходы между колебат. уровнями энергии молекул. Оптич. активность может проявляться в колебательных спектрах (ИК и комбинационного рассеяния) в большем числе переходов - соотв. числу колебаний в молекуле, в к-рых участвуют все ее части. Получаемая информация позволяет идентифицировать абс. конфигурацию молекулы по знаку колебательного КД, выделить наличие определенных конформеров. Установлены нек-рые закономерности, напр., исследование L-аминокислот позволило установить правило: знак полосы колебат. КД для С*—Н всегда положителен (С* -асимметрич. атом).
Помимо естеств. оптич. активности можно измерять магн. оптич. активность (МДОВ) и магн. КД (МКД). Методы МДОВ и МВД не требуют наличия хирального центра или к.-л. др. элемента хиральности. Они основаны на том, что магн. поле, силовые линии к-рого ориентированы вдоль направления луча линейно поляризованного света, индуцирует оптич. активность у любых орг. соед. (т. наз. Фарадея эффект). Знаки индуцированных эффектов Коттона зависят от направления света относительно магн. поля. Величина магнитооптич. вращения определяется из ур-ния Верде:
где Н -напряженность магн. поля; l - длина пути луча, проходящего параллельно магн. силовым линиям через слой в-ва; V-константа Верде, характеризующая в-во и зависящая от длины волны и т-ры t. Методы МДОВ и МВД используют как для анализа орг. соед., так и для изучения электронных переходов, напр. в мол. комплексах с переносом заряда.
Лит.: Джерасси К., Дисперсия оптического вращения, пер. с англ., М., 1962; Дисперсия оптического вращения и круговой дихроизм в органической химии, под ред. Г. Снатцке, пер. с англ., М., 1970; Ноградн М., Стереохимия, пер. с англ., М., 1984; Потапов В. М., Стереохимия, 2 изд., М., 1988; Вилков Л.В., Пентин Ю. А., Физические методы исследования в химии, М., 1989.
В. М. Демьянович.