Оптическая активность
ОПТИЧЕСКАЯ АКТИВНОСТЬ, способность в-ва- твердого, жидкого или газа-вращать плоскость поляризации проходящего через него света. Такие в-ва наз. оптически активными. Поворот происходит либо вправо (по часовой стрелке), либо влево (против часовой стрелки), если смотреть навстречу ходу лучей света. Оптической активностью обладают энантиомеры (см. Изомерия), а также энантиоморфные формы кристаллов (см. Энантиоморфизм)ахиральных в-в при хиральном расположении их молекул в кристаллич. решетке (напр., кварц, мочевина). От этой естественной оптической активности хиральных сред отличают наведенную оптическая активность ахиральных в-в, к-рая появляется в них в магн. поле (Фарадея эффект)или при контакте с хиральными молекулами (эффект Пфейфера).
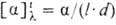
Мера оптической активности-оптич. вращение a, к-рое измеряют при помощи поляриметров, спектрополяриметров и дихрогра-фов. Уд. вращение
для жидкости вычисляют по ф-ле
, где
- угол поворота плоскости поляризации луча (в град) в кювете длиной l (в дм), d~ плотн. в-ва (в г/см3),
и t означают длину волны света и т-ру р-ра, они влияют на величину
. Для р-ра
линейно зависит от толщины слоя р-ра и концентрации оптически активного в-ва (закон Б и о) и ф-ла имеет вид
, где с-концентрация в-ва (г в 100 см3 р-ра). Уд. вращение зависит, кроме того, от типа р-рителя. и его также необходимо указывать. Напр., для 20% р-ра правовращающей винной к-ты в воде для D-линии натрия (
= 589 нм) и 20 °С записывают:
+ 11,98° (вода, с 20). Часто вместо уд. вращения указывают молярное вращение
, где М-мол. масса оптически активного в-ва. Совр. поляриметры позволяют измерять оптическая активность с высокой точностью (до 0,001°).
Согласно О. Френелю (1823), оптическая активность среды объясняется различием ее показателей преломления n+ и n- для право- и левополяризованных по кругу компонент плоскополяризов. луча света с длиной волны
(в вакууме):

Т. к. величина n связана с электронной поляризуемостью bе молекул среды соотношением (п2 — 1)/(п2 + 2) = 4/з
Nbe , где N- число поляризующихся частиц в единице объема (ф-ла Лоренца-Лоренца), оптическая активность означает различие в поляризуемости молекул под воздействием право- и левополяризованных по кругу лучей света. Работами М. Борна, К. В. Осе-на (Озеена), П. Друде, Э. Резерфорда, В. Куна и др. показано, что такое различие характерно для молекул, к-рые содержат два взаимодействующих друг с другом электрона (или две электронные системы), способные согласованно колебаться в двух взаимно перпендикулярных направлениях. Этому условию отвечают колебания электронов хромофорных групп, находящихся в асимметричном окружении, т.е. в хиральных молекулах. Иными словами, хромофоры хиральных молекул с разл. интенсивностью взаимодействуют с право- и левополяризованными по кругу лучами, в разл. степени уменьшая скорость их распространения.
Если в хиральной молекуле связанные с асимметрич. центром группы не имеют полос поглощения в ближней УФ области, то оптическая активность такого соед. мала, как, напр., у вторичных алифатич. спиртов, для к-рых полоса поглощения группы ОН лежит в далекой УФ области (ок. 180 нм). При наличии интенсивных хромофоров (карбонильная группа или арома-тич. заместитель) оптическая активность соединений в видимой области спектра велика. Согласно правилам Л. А. Чугаева, молярное вращение возрастает с приближением оптически активного хромофора к асимметрич. атому углерода, а при неизменном их взаимном расположении остается приблизительно постоянным для всех гомологичных серий соединений. Особенно велика оптическая активность соединений с собственно диссимметричным хромофором, таких, как гелицены (правоспиральный гекса-гелицен имеет
+ 12 200° в СНСl3) цис- и транс-диены,
-ненасыщ. кетоны, оксалаты Со (III) и Сг(III). Значит. вклад в оптическую активность дают спиральные конформации полимеров. Так, для нативного коллагена в
-спиральной конформации характерно сильное отрицат. вращение (
ок. - 400°), оно падает при денатурации приблизительно до — 120°. Каждая из конформации характеризуется своим специфичным асимметричным окружением оптически активного хромофора. Поэтому конформеры отличаются по величине и даже знаку оптической активности, а суммарная оптическая активность соединения сильно зависит от т-ры, если при этом изменяется конформац. набор молекул. Как правило, оптическая активность резко возрастает при закреплении одной, напр. циклич., конформации в случае образования внутри-мол. водородной связи.
Дж. Брюстер разработал схемы расчета знака и величины молярного вращения соед. с асимметрич. атомом углерода на основе сравнения поляризуемости заместителей при этом атоме и вкладов скошенных конформац. звеньев. Эти схемы применяются для предсказания абс. конфигурации и конформации хиралъных молекул. С этой же целью успешно применяют правило октантов, связывающее структуру молекулы с характером зависимости ее оптической активности от длины волны (с дисперсией оптич. вращения, знаком эффекта Коттона; см. Хироптические методы).
Оптическая активность впервые обнаружена Д.Ф. Араго в 1811 (кварц) и Ж. Б. Био в 1815 (природные орг. в-ва).
Лит.: Потапов В. М., Стереохимия, 2 изд., М., 1988, с. 186-99.
В. А. Даванков.