1,3-Диены
Из углеводородов с двумя этиленовыми связями 1,3-диены, т. е. дивинил СН2=СН—СН=СН2 и его гомологи, являются наиболее важными как в теоретическом, так и в практическом отношении. Как соединения с сопряженными двойными связями эти углеводороды обладают целым рядом особенностей в сравнении с другими, им изомерными соединениями.
Дивинил и его гомологи могут быть получены при помощи реакций, аналогичных реакциям, ведущим к получению простейших этиленовых углеводородов, с той, конечно, разницей, что здесь должны образоваться не одна, а две этиленовые связи. Кроме того, благодаря тому, что система сопряженных двойных связей часто более устойчива, чем системы, содержащие иные сочетания двойных связей, углеводороды с сопряженными связями нередко образуются при пирогенетических процессах, а также вследствие внутримолекулярных перегруппировок при таких реакциях, когда должны были бы образоваться изомерные им углеводороды.
Обладая способностью вступать в обычные реакции этиленовых углеводородов, углеводороды с сопряженными связями в химическом отношении отличаются, кроме того, и некоторыми характерными особенностями.
Чрезвычайно важной особенностью соединений с сопряженными двойными связями является их способность давать при присоединении двух одновалентных атомов или радикалов продукты присоединения не к двум соседним атомам углерода, связанным двойной связью (в положении 1 и 2), а к двум крайним углеродным атомам системы сопряженных связей (1 и 4), причем образуется двойная связь между двумя средними атомами (2 и 3). Так, Тиле нашел, что присоединение молекулы брома к дивинилу СН2=СН—СН=СН2 приводит к образованию дибромида строения

Присоединение двух атомов водорода к системам типа X—СН=СН—СН—СН—X приводит к образованию продуктов, имеющих строение X—СН2—СН=СН—СН2—X.
Галоидоводороды также могут присоединяться в положении 1,4. Например, изопрен с бромистым водородом дает 4-бром-2-метилбутен-2:
Вещества, содержащие сопряженные двойные связи, обладают рядом специфических особенностей, вызванных взаимным влиянием электронных систем обеих двойных связей (стр. 145 сл.). Взаимодействие этих систем называют эффектом сопряжения. Так называемый статический эффект сопряжения обусловливает некоторое повышение энергии образования молекул (по сравнению с энергией образования веществ того же состава, но содержащих две несопряженные двойные связи), повышение молекулярной рефракции и т п. Сопряжение двойных связей сказывается вместе с тем в своеобразном поведении таких веществ при реакциях; это — динамический эффект сопряжения, связанный с перераспределением плотностей электронного облака молекулы под влиянием атакующего агента. Для случая присоединения бромистого водорода к дивинилу это перераспределение выражается в поляризации молекулы дивинила под влиянием ионов водорода и брома:

Однако далеко не всегда получается исключительно продукт присоединения в положении 1,4, но часто наряду с этим идет и присоединение в положении 1,2. По-видимому, водород in statu nascendi присоединяется исключительно в положении 1,4, но при восстановлении газообразным водородом в присутствии катализатора присоединение часто происходит как в положении 1,4, так и в положении 1,2, Например, изопрен, присоединяя водород в присутствии платины, дает смесь следующих веществ:

Бром также часто присоединяется в обоих положениях, а иногда даже исключительно в положении 1,2.
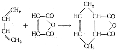
Весьма важным свойством дивинила и других углеводородов с сопряженными двойными связями является их способность гладко и количественно присоединять малеиновый ангидрид с образованием, в случае дивинила, ангидрида тетрагидрофталевой кислоты:

Эта реакция представляет собой частный случай «диеновых синтезов» Дильса—Альдера. Она применяется также для идентификации 1,3-диенов, так как образующиеся аддукты имеют характерные температуры плавления.

Получение таких аддуктов используется и для количественного определения содержания диенов в газах.
Вторым важным свойством углеводородов этого типа (присущим также углеводородам типа аллена) является их способность к полимеризации.
Как и аллен, 1,3-диены самопроизвольно полимеризуются (особенно легко при повышенной температуре и давлении), образуя циклические димеры. Так, дивинил дает при этом углеводород С8Н12, следующего строения (пунктир пересекает места соединения двух молекул дивинила):

Гомолог дивинила изопрен СН2=С(СН3)—СН=СН2 дает при полимеризации углеводород С10Н16, относящийся к классу терпенов, называемый дипентеном:

Следовательно, молекулы углеводорода присоединяются друг к другу таким образом, что у одной новые углерод-углеродные связи возникают в положении 1,4, а у другой — в положении 1,2 (С. В. Лебедев).
Для диеновых углеводородов с сопряженными двойными связями особенно характерна способность под действием различных катализаторов (а также под действием света, особенно ультрафиолетовых лучей), а иногда и самопроизвольно полимеризоваться с образованием высокомолекулярных углеводородов. Исследования показали, что природный каучук является такого рода полимером изопрена (Гарриес). Полимеризацией диеновых углеводородов были получены синтетические каучуки.