Пиколины
ПИКОЛИНЫ (монометилпиридины). мол. м. 93,13. Известны 2-метил- (a-пиколин), 3-метил- (b-пиколин) и 4-метилпиридины (g-пиколин). Все они-бесцв. жидкости (см. табл.) с пиридино-подобным запахом; хорошо раств. в воде и орг. р-рителях. С водой образуют азеотроп-ные смеси, содержащие, напр., 52% по массе a-пиколина (т. кип. 93,50C), 39% по массе b-пиколина (т. кип. 96,20C).

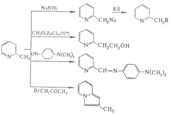
Пиколины по хим. св-вам подобны пиридину: с сильными к-тами и алкилгалогенидами образуют соли, надуксусной к-той легко окисляются в N-оксиды, восстанавливаются водородом (кат. - Pt) или Na в спиртах в производные пиперидина. Под действием KMnO4, HNO3 и O2 воздуха в присут. V2O5 a-, b- и g-пиколины окисляются соотв. до пиколиновой, никотиновой и изоникотиновой к-т; окислит. аммонолиз пиколинов приводит к нитрилам этих к-т, окисление в присут. SeO2 - к соответствующим альдегидам. В отличие от b-пиколина a- и g-пиколины могут подвергаться дейтерообмену по атомам водорода группы CH3, при действии NaNH2 и C6H5Li образовывать ме-таллоорг. производные, взаимод. к-рых с алкилгалогенидами приводит к гомологам пиридина, конденсироваться с альдегидами, кетонами, нитрозопроизводными и др. соед., напр.:

Еще легче в аналогичные р-ции вступают N-оксиды и четвертичные соли a- и g-пиколинов; в последнем случае при подщела-чивании образуются алкилидсндигидропиридины (ангидро-основания):

В пром-сти пиколины выделяют из кам.-уг. смолы или горючих сланцев в смеси с др. пиридиновыми основаниями с послед. ректификацией смеси; a- пиколин отделяется при перегонке, b-и g-пиколины входят вместе с 2,6-лутидином в состав b-пиколино-вой фракции, из которой b-пиколин выделяют в виде комплекса с CuCl, g-пиколин -в виде коплекса с NiCl2 (с послед. доочисткой основания в виде комплекса с CaCl2). Синтезируют пиколины конденсацией NH3 с CH3CHO (р-ция Чичибабина), а также термич. разложением солей N-алкилпиридиния (р-ция JIa-денбурга). a-Пиколин с хорошим выходом образуется также при взаимод. пиридина с диазометаном, b-пиколин -при взаимод. NH3 с акролеином.
a-Пиколин применяют для получения a-винилпиридина и пестицидов, b-пиколин -для получения никотиновой к-ты, g-пиколин -в произ-ве изоникотиновой к-ты и лек. препаратов на ее основе (см. Изоникотиновая кислота).
СВОЙСТВА ПИКОЛИНОВ
| Показатель | Соединение | ||
| a-пиколин | b-пиколин | g-пиколин | |
| T. пл., 0C | -66,8 | -18,0 | 3,6 |
| T. кип., 0C | 128,8 | 144,00 | 145,4 |
| | 0,9443 | 0,9566 | 0,9548 |
| | 1,5010 | 1,5068 | 1,5051 |
| pKa (вода, 20 0C) | 5,96 | 5,66 | 6,05 |
| T. пл. пикрата, 0C | 169-171 | 149-150 | 168 |
Пиколины токсичны: ПДК в воздухе 5 мг/м3; для a-пиколина ЛД50 674 (мыши, перорально), 790 (крысы), 900 мг/кг (свинки).
Лит.: Яхонтов Л. H., КарпманЯ.С, "Химия гетероциклических соединений", 1981, № 4, с. 435-47; Общая органическая химия, пер. с англ., т. 8, M., 1985, с. 15- 104. Л. H. Яхонтов.

