Нигрозины
НИГРОЗИНЫ, группа черных азиновых красителей.
С п и р т о р а с т в о р и м ы й нигрозин получают: нагреванием смеси анилина, его гидрохлорида и нитробензола с чугунной стружкой при 170-180°С (нигрозиновая плавка); нагреванием n-нитрофенола с анилином, его гидрохлоридом и небольшим кол-вом железа при 170-180°С. В первом способе анилин сначала окисляется нитробензолом в n-хинонимин, а нитробензол восстанавливается чугунной стружкой в фснилгидроксиламин, к-рый перегруппировывается в n-аминофенол. n-Хинонимин и n-аминофенол реагируют с анилином с образованием индоанилина (ф-ла I), к-рый

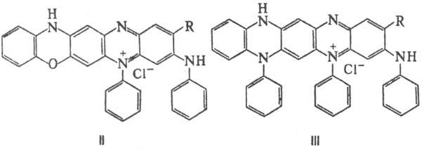
вступает затем в обычные для хинониминовых красителей р-ции с образованием сложной смеси красителей от красновато- до синевато-черных оттенков в зависимости от длительности процесса. Главная составная часть красновато-черных нигрозинов-соед. с оксазиновыми и диазиновыми кольцами (ф-лы II и III; R = Н). В синевато-черных нигрозинах содержатся аналогичные структуры, несущие фениламиногруппы (R = NHC6H5).

Наряду с этими красителями в нигрозинах содержится большое кол-во тетрафениламинопроизводного N-фенилфеназония (IV), одного из компонентов индулинов.

Спирторастворимый нигрозин -синевато-черный порошок, не раств. в воде; применяют для крашения пластмасс, дерева, изготовления спиртовых лаков, в микроскопии.
Ж и р о р а с т в о р и м ы й нигрозин -основание спиртораствори-мого нигрозина; получают обработкой последнего 40%-ным водным р-ром NaOH при натр.; применяют для изготовления сапожных кремов, краски для лент пишущих машин, типографских красок. При сульфировании спирторастворимого нигрозина 100%-ной H2SO4 при 120-130°С получают в о д ор а с т в о р и м ы й нигрозин -кислотный краситель для кожи, шерсти, шелка (прочность окрасок на тканях невысокая), его используют также в составе чернил, лаков для обоев и цветных бумаг.
Лит.: Степанов Б.И., Введение в химию и технологию органических красителей, 3 изд., М., 1984. С. И. Попов.