Хинонимины

ХИНОНИМИНЫ. Различают п- и о-хинонимины (ф-лы Ia и I6)и n- и о-хинондиимины (IIa и II6). Наиб. практич. значение имеют пaра-изомеры. Незамещенные хинонимины- бесцв. кристаллы, неустойчивы, разлагаются на свету и в присут. р-рителей. Замещение атомов Н при атоме азота на алкил или фенил стабилизирует молекулу хинониминов, что выражается также в углублении цвета производного; так, N-метил-n-хино-нимин - светло-желтые, N-фе-нил-n-хинонимин (т. пл. 97 °С) -красные, N, N'-дифенил-n-хинондиимин (т. пл. 180 °С) - темно-красные кристаллы.

6002-4.jpg

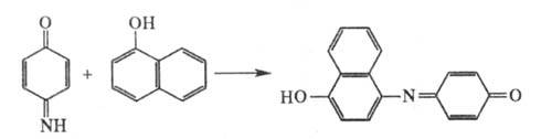
Характерное св-во хинониминов- способность к легкому гидролизу разбавленными к-тами с образованием соответствующего хинона и NH3. Взаимод. хинониминов с разл. восстановителями приводит к аминофенолам или диаминам. С фенолами хинонимины образуют индофенольные красители, напр. красный краситель в случае нафтола:

6002-5.jpg

N-Алкилзамещенные хинондиимины в щелочной среде превращаются в хинонимин, с сульфитами щелочных металлов образуют сульфонаты:

6002-6.jpg

Незамещенные хинонимины и их N-алкильные производные вступают в диеновый синтез с циклопентадиеном.
Незамещенные хинонимины получают осторожным окислением эфирным р-ром Ag2O n-аминофенола (в случае n-хинонимина) и n-фенилендиамина (в случае n-хинондиимина). N-Фенилхинонимин синтезируют в аналогичных условиях из n-аминофенола, N, N'-дифенилхинондиимин - из N, N'-дифенил-n-фенилендиамина.
Хинонимины- основа хинониминовых красителей.

Г. И. Пуца.

Синонимы/примеры:* Хинонимицин; Хинонимицин А
*подобраны ИИ, возможны неточности