Индоанилины
ИНДОАНИЛИНЫ, группа хинониминовых красителей 4'-гидроксипроизводных N-фенилхинондиимина. Простейший индоанилин можно представить таутомерными структурами I и II.
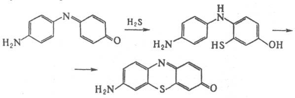
Обычно индоанилины содержат алкильные или арильные группы при концевом атоме N и имеют структуру типа III, где X = Сl-, CH3SO4-, ClO4- или др. анион минер. к-ты. Индоанилины кристаллы от синего до синевато-зеленого цвета; раств. в полярных орг. р-рителях, минер. к-тах, водных р-рах щелочей; индоанилины типа III раств. в воде. Разб. к-тами индоанилины разлагаются до n-бензохинона и соответствующего N-замещенного n-фенилендиамина. Восстанавливаются Na2S, Na2S2O4 до бесцв. 4-гидрокси-4'-аминодифениламинов, вновь переходящих в индоанилины под действием окислителей (HgO, AgO, O2); на этом основано применение индоанилинов как окислит.-восстановит. индикаторов. Благодаря наличию ионизирующихся амино- и гидроксигрупп индоанилины обратимо меняют окраску при изменении рН среды. Подобно n-бензохинону взаимод. с NaHSO3, Na2S2O3, NaHS, ароматич. аминами, образуя продукты замещения в ядре; при этом заместитель вступает преим. в орто-положение к центр. атому N. Присоединение группы SH с послед. окислит. циклизацией (100-120°С; среда - водный р-р Na2Sn) - важный процесс при получении на основе индоанилинов сернистых красителей:
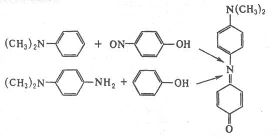
Получают индоанилины взаимод. п-нитрозоариламина с фенолом или п-нитрозофенола с ариламином (нитрозный способ); совместным окислением (К2Сr2О7, NaClO) n-арилендиамина с фенолом или n-аминофенола с ариламином (окислит. способ), напр.:
Основной краситель нафтоловый синий (ф-ла IV) получают нитрозированием диметиланилина действием NaNO2 в солянокислом р-ре с послед. взаимод. при 0-5°С с 1-нафтолом.
В цветной фотографии синие индоанилины образуются окислит. способом в процессе проявления, когда фенольная компонента вводится в состав эмульсии вместе с AgBr (окислитель, активированный в местах засвечивания), а n-аминодиалкиланилин в состав проявителя. Из-за низкой хим. стойкости индоанилины как красители для текстиля утратили свое значение, но широко используются как промежут. продукты для синтеза оксазиновых, тиазиновых и сернистых красителей.
Литература
Степанов Б. И., Введение в химию и технологию органических красителей, 3 изд., М., 1984. С. И. Попов.
Ещё по теме
Нитроанилины — свойства, применение и токсичность
Нитроанилины — характеристики и применение
Хинониминовые красители — особенности и применение
Амидины — строение, свойства и применение
Нитроанилины — свойства и токсичность
Хинонимины — свойства и применение