Индулины
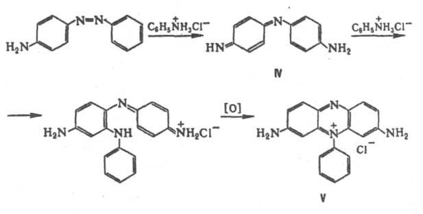
ИНДУЛИНЫ, группа синих азиновых красителей. Спирторастворимый индулин - сложная смесь соед. от красновато-синего до зеленовато-синего оттенков, главная составная часть к-рых содержит в молекулах диазиновые кольца и фениламиногруппы (ф-лы I-III): Получают нагреванием 4-аминоазобензола, анилина и его гидрохлорида при 150-200 °С в течение неск. часов (индулиновая плавка) с послед. отгонкой избытка анилина с водяным паром, охлаждением и фильтрацией. Механизм р-ции: образование 4-аминофенилхинондиимина (IV), его фениламинирование и послед. циклизация в феносафранин (V).
Взаимод. последнего с гидрохлоридом анилина приводит к соед. I-III:
Спирторастворимый индулин применяют для приготовления спиртовых лаков. Сульфированием спирторастворимого индулина 100%-ной H2SO4 (25-80°С) с послед. обработкой смеси образовавшихся сульфокислот р-ром NaCl получают смесь соответствующих Na-солей, выпускаемую под назв. "индулин водорастворимый". Ее применяют для крашения кожи, шелка и приготовления чернил. При кипячении спирторастворимого индулина с водным р-ром NaOH или соды образуется смесь оснований (напр., из соед. I - основание ф-лы VI), р-римая в жирах, восках, углеводородах. Такой жирорастворимый индулин применяют для получения типографских красок и как компонент черного лака для резиновой обуви,
Литература
Чекалин М. А., Пассет Б. В., Иоффе Б. А., Технология органических красителей и промежуточных продуктов. 2 изд., Л., 1980; Степанов Б. И., Введение в химию и технологию органических красителей, 3 изд., М., 1984. С. И. Попов.
Синонимы/примеры:*
Индулин; Индулин B; Индулин 3B; Индулин 2B
*подобраны ИИ, возможны неточности
Ещё по теме
Анилин — свойства, производство и применение
Хинолин и бензпиридин — свойства и применение
Нафтиламины — свойства и применение
Нитроанилины — свойства, применение и токсичность
Изохинолин — характеристики и применение
Амидины — строение, свойства и применение
Хинолин — свойства и применение
Нафтиридины — свойства и применение в химии и медицине
Азиновые, оксазиновые и тиазиновые красители — свойства и применение