D-Фруктоза, или плодовый сахар

является наиболее важным представителем кетоз. Вследствие левого вращения она долгое время называлась левулозой.
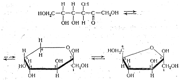
D-Фруктоза содержится во многих сладких плодах вместе с D-глюкозой. Смесь равных количеств фруктозы и глюкозы образуется при гидролизе тростникового сахара; такая же смесь составляет главную часть меда. Легче всего получить D-фруктозу гидролизом полисахарида инулина. D-Фруктоза кристаллизуется (очень трудно) в кристаллах, имеющих состав 2C6H12O6 ∙ H2O, плавящихся около 100° С. Она вращает плоскость поляризации влево сильнее, чем D-глюкоза вправо, и обладает слабой мутаротацией (конечное вращение [α]D =—93°). В водных растворах фруктоза весьма сильно дециклизована; в значительных количествах содержится в растворах и фруктофураноза.
О реакциях, доказывающих строение фруктозы, было указано выше. Фруктоза дает тот же озазон, что и глюкоза и манноза. Это доказывает, что конфигурация асимметрических углеродных атомов фруктозы тождественна конфигурации асимметрических атомов в глюкозе и маннозе.
При восстановлении фруктозы в гексит возникает новый асимметрический углеродный атом, который может дать две различные конфигурации по отношению к остальным асимметрическим атомам углерода. Соответственно этому при восстановлении фруктозы получается два гексита, а именно: маннит и сорбит, т. е, те же спирты, что и при восстановлении маннозы и глюкозы. Из маннита и сорбита фруктоза может быть получена окислением, особенно легко при помощи сорбозной бактерии.
D-Фруктоза обладает значительно более сладким вкусом, чем тростниковый сахар; наличием фруктозы вызвана сильная сладость меда.
За последние 10 лет в различных природных источниках обнаружено большое число новых сахаров. Особенно много новых моносахаридов (около 20) найдено в микроорганизмах. К ним относятся 3,6-дидезоксигексозы, альдо- и кетогептозы и др.