Глюкоза
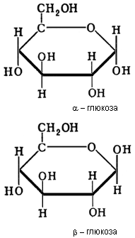
Глюкоза (от греч. glykys — сладкий), виноградный сахар, декстроза; углевод, наиболее часто встречающийся в природе; относится к гексозам, т. е. моносахаридам, содержащим 6 углеродных атомов. Бесцветные кристаллы, tпл 146,5 °С. Хорошо растворима в воде. Раствор глюкозы содержит молекулы в a-форме и b-форме; равновесное состояние достигается при соотношении этих форм 37% и 63%. Глюкоза оптически активна, вращает поляризованный луч вправо. a-Глюкоза — необходимый компонент всех живых организмов — от вирусов до высших растений и позвоночных животных (включая человека); входит в состав различных соединений — от сахарозы, целлюлозы и крахмала до некоторых гликопротеидов и вирусной рибонуклеиновой кислоты. Для ряда бактерий глюкоза — единственный источник энергии. Глюкоза участвует во многих реакциях обмена веществ.

Содержание глюкозы в крови человека около 100 мг%, оно регулируется нейро-гуморальным путём (см. Углеводный обмен). Снижение содержания глюкозы (см. Гипогликемия) до 40 мг% вызывает резкое нарушение деятельности центральной нервной системы. Основные пути использования глюкозы в организме: анаэробные превращения, сопровождающиеся синтезом АТФ (см. Аденозинфосфорные кислоты) и заканчивающиеся образованием молочной кислоты (см. Гликолиз); синтез гликогена; аэробное окисление до глюконовой кислоты под действием фермента глюкозооксидазы (процесс присущ некоторым микроорганизмам, использующим его для получения энергии, протекает с поглощением кислорода воздуха); превращения в пентозы и др. простые сахара (пентозофосфатный цикл). При полном ферментативном окислении глюкозы до CO2 и H2O выделяется энергия: C6H12O6 + 6O2 ® 6CO2 + 6H2O + 686 ккал/моль, значительная часть которой аккумулируется макроэргическими соединениями типа АТФ. Синтез глюкозы из неорганических компонентов представляет обратный процесс и осуществляется растениями и некоторыми бактериями, использующими энергию солнечного света (фотосинтез) и химических окислительных реакций (хемосинтез).
В промышленности глюкозу получают гидролизом крахмала. Применяется в кондитерском производстве; как лечебное средство — в медицине.
А. А. Болдырев.
Для медицинских целей употребляют глюкозу в порошках и таблетках, а также изотонический (4,5—5%) и гипертонический (10—40%) растворы глюкозы. Изотонические растворы применяют (вводят подкожно и в клизмах) для пополнения организма жидкостью; они являются также источником легко усвояемого питательного материала. При введении гипертонических растворов (внутривенно) повышается осмотическое давление крови, улучшаются процессы обмена веществ, усиливается антитоксическая функция печени, сократительная деятельность сердечной мышцы, расширяются сосуды, увеличивается мочевыделение. Растворы глюкозы применяют при инфекционных заболеваниях, заболеваниях сердца, различных отравлениях и др., часто в сочетании с аскорбиновой кислотой.
Лит.: Химия углеводов, М., 1967.