Циануровая кислота; 2,4,6-тригидрокси-1,3,5-триазин; симм-триазинтриол; трициановая кислота;триоксицианидин

Применяется в органическом синтезе.
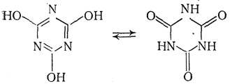
Физические и химические свойства. Бесцветные кристаллы. Плотн. 1,678 (0°), раств. в воде 0,25%. Циклический тример циановой кислоты (НСNО)3. При нагревании деполимеризуется, образуя циановую кислоту. При нагревании с соляной кислотой распадается с образованием СО2 и NH3.
Токсическое действие. В острых опытах токсичность незначительна. Введение 30 мг/кг в желудок белых крыс и морских свинок 6 раз в неделю в течение 6 месяцев приводит к отставанию в приросте массы тела. Гистологически — тенденция к снижению содержания аскорбиновой кислоты в селезенке (у морских свинок) и атрофия пульпы последней; дистрофические изменения в почках. Доза 3 мг/кг в подобных же условиях опыта изменений не вызывала. У подопытных животных на месте инъекции циануровой кислоты образовывались саркомы (Плисс).
Аналогично, но слабее действует цианурат натрия. N,N',N''-Трихлорцианровая кислота при введении в желудок белым мышам в виде нейтральной эмульсии вызывает гибель 50% животных при дозе 0,75 г/кг, а в кислой сресовсем слабой токсичностью (при введении в желудок 15,0 г/кг белые мыши не погибали).
Μ = 202,20
Μ = 129,08
де — при 2,2 г/кг. Сильно повреждает слизистую желудка и кишок. Сухое вещество вызывает кислотный ожог кожи кролика (выделение НСl и НСlО), еще сильнее действует смоченный препарат: 5 мг при контакте с роговицей вызывает ее помутнение, а также ожог кожи век [69, с. 171].