Фторкаучуки
ФТОРКАУЧУКИ (фторорг. каучуки, фторэластомеры), син-тетич. каучуки, получаемые сополимеризацией фторсодержа-щих мономеров. Отличит. особенность фторкаучуков- сочетание высокой теплостойкости с хим. стойкостью к разл. агрессивным средам в широком интервале т-р; характеризуются также хорошими физ.-мех. св-вами, в т. ч. сопротивлением истиранию, газонепроницаемостью, невоспламеняемостью, удовлетворит, диэлектрич. св-вами, умеренной радиационной стойкостью. Раств. в гексафторбензоле, кетонах, сложных эфирах, не раств. в углеводородах, спиртах, не набухают в воде.
Различают карбо- и гетероцепные фторкаучуки. Наиб. пром. применение получили карбоцепные фторкаучуки на основе винилиден-фторида (ВФ) - гл. обр. сополимеры с трифторхлорэтиленом (ТФХЭ), гексафторпропиленом (ГФП) и перфгорметилвини-ловым эфиром (ПФМВЭ), а также тройные сополимеры (терполимеры) ВФ, ГФП и тетрафторэтилена (ТФЭ) (табл.).
НЕКОТОРЫЕ ПРОМЫШЛЕННЫЕ КАРБОЦЕПНЫЕ ФТОРКАУЧУКИ
| Наименование (марка) | Формула | Соотношение мономеров | Плотн., г/см3 | T. стекл., 0C | Т-ра длит. эксплуатации (кратковременной эксплуатации), 0C | Содержание F, % по массе | ||
| Сополимеры ВФ и ТФХЭ (СКФ-32, кель F)* | | (1:1) - (7:3) | 1,83-1,85 | -18 | 150 (200) | 54-56 | ||
| Сополимеры ВФ и ГФП (СКФ-26, СКФ-26 HM, СКФ-26 OHM, вайтон А, флуорел FC, текнофлон NH, дей-L) | | 7:3 | 1,80-1,86 | -22 | 200 (250) | 65 | ||
| Терполимеры ВФ, ГФП и ТФЭ (вайтон В, флуорел FT, текнофлоны TN, TN 50) | | — | 1,85 | -17 | 250 (280) | 67 | ||
| Сополимеры ВФ и ПФМВЭ (СКФ-260, вайтон GLT) | | — | 1,80-1,85 | -(40-42) | 200 (250) | 65 | ||
| Сополимеры ТФЭ и ФМВЭ (СКФ-460, калрез)** | | 2:1 | 1,90-2,00 | -10 | 260-280 (315) | 70 | ||
| Сополимеры ТФЭ и пропилена (афласы 100, 50 и 200)*** | | — | 1,55-1,82 | От -2 до -35 | 210-230 (300) | 57-59 | ||
* Повышенная стойкость к сильным к-там. ** По теплостойкости и хим. стойкости близки к тефлону. *** Повышенная стойкость к окислит. агрессивным средам.
Карбоцепные фторкаучуки- аморфные полимеры с линейным и (или) глобулярным расположением слаборазветвленных макромолекул; мол. м. (1-5)·105. В нек-рых типах фторкаучуков содержится значит. кол-во (до 80% по массе) глобулярного микрогеля с размером глобул 40-150 нм. Св-ва фторкаучуков во многом зависят от их мол. структуры (тип каучука, соотношение мономеров, MMP). При нагр. выше 200 0C, а также при взаимод. с щелочами, аминами и т. п. Фторкаучуки отщепляют галогеноводороды (HF, HCl); при этом в молекуле образуются изолированные или сопряженные двойные связи, участвующие в вулканизации.
Получают фторкаучуки эмульсионной сополимеризацией фторолефи-нов в присут. инициаторов (обычно персульфата аммония), эмульгаторы - соли щелочных металлов перфгоркарбоновых и перфторалкилсульфокислот, регуляторы сополимериза-ции - спирты, углеводороды, бром- и иодперфторалканы.
Резиновые смеси на основе фторкаучуков изготовляют и перерабатывают на обычном оборудовании. Вследствие повышенной жесткости нек-рых фторкаучуков и резиновых смесей, а также их сильного разогрева при обработке загрузка вальцов должна быть меньше обычной, а охлаждение более интенсивным. Экструзию и шприцевание обычно осуществляют на двухчер-вячных машинах. Типичная рецептура резиновых смесей включает (мас. ч. на 100 г фторкаучука): вулканизующие агенты (1-6), акцепторы галогеноводородов (3-15), наполнители (10-30), технол. (воски) и др. добавки (до 15). Осн. вулканизующие агенты: диамины и их производные, дифенолы (в сочетании с четвертичными аммониевыми и фосфониевыми солями), пероксиды, хелаты типа салицилальдимина меди, используют также g-излучение; осн. наполнители: техн. углерод, графит, тонкодисперсный SiO2, мел, BaSO4; акцепторы HHal - оксиды и гидроксиды металлов. Вулканизацию проводят в 2 стадии: формование в прессе (150-200 0C, 5-6 мин) или автоклаве с острым паром (120-155 0C, от 20 мин до 4 ч); довулканизация в термостате (200-250 0C, 24 ч).
В зависимости от типа вулканизующей системы и наполнения вулканизаты имеют sраст 10-30 МПа, относит, удлинение 100-300%, твердость по Шору А 40-90, сопротивление раздиру 25-70 кН/м, т-ру хрупкости от -25 до 50 0C; остаточная деформация при сжатии (150-200 0C, 72 ч) - до 70%.
Осн. направления модификации фторкаучуков- повышение вулкани-зационной активности, улучшение технол. св-в, синтез морозостойких каучуков. Для повышения вулканизационной активности в состав фторкаучуков вводят мономеры с функцион. группами (бром- или иодолефины). Для улучшения технол. св-в применяют смеси фторкаучуков с этиленпропиленовым, фторсилоксано-вым и др. каучуками. Получены также гомополимеры фторак-
рилатных каучуков с длинными боковыми кислородсодержащими цепями (т. стекл. -55 0C): исходный мономер CH2= СНСООСН2(СF2)2OСF3.
Гетероцепные фторкаучуки, содержащие в цепи макромолекулы гетероатомы (P, О, N), по нек-рым эксплуатац. св-вам во многом превосходят карбоцепные. Однако вследствие сложности синтеза они не получили широкого пром. применения. Наиб. изучены перфторполиэфирные каучуки на основе дикарбоновых к-т типа НООССбН4(СF2)2СбH4СООН, нитро-зоперфторкаучуки
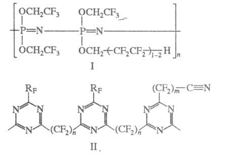
фторсилоксано-вые каучуки (см. Кремнийорганические каучуки), фторалко-ксифосфазеновые каучуки ф-лы I и перфторалкилентриази-новые каучуки ф-лы II (RF - перфторуглеродный радикал)

Резины на основе этих фторкаучуков морозостойки и негорючи (каучуки ф-лы I), способны длительно работать при высоких т-рах (II), стойки к действию углеводородных сред.
Фторкаучуки используют в произ-ве уплотнителей, рукавов шлангов, мембран, резинотканевых материалов, гуммировочных покрытий и др. изделий, работающих при высоких т-рах и в контакте с агрессивными средами.
Объем мирового произ-ва ок. 8 тыс. т в год (1989).
Лит.: Серушкин И. Л. [и др.], "Ж. Всес. хим. об-ва им. Д.И. Менделеева", 1980, т. 25, № 5, с. 552-72; Синтетический каучук, 2 изд., Л., 1983; Новицкая С.П., Нудельман З.Н., Донцов А.А., Фторэластомеры, M., 1988. С.П. Новицкая.





