Тетрафторэтилен
ТЕТРАФТОРЭТИЛЕН (перфторэтилен, мономер М-4) CF2=CF2, мол.м. 100,02; бесцв. газ без запаха; т.пл. - 131,15 °С, т. кип. - 76,3 °С;
1,519; tкрит 33,30С, pкрит 3,95 МПа, dкрит 0,572 г/см3; давление пара (МПа): 0,0822 (-80°С), 1,004 (-20°С), 1,776 (0°С), 2,928 (20 °С), 3,691 (30 °С); DHисп 16,53 кДж/моль (при -76,3°С), — 659,5 кДж/моль; р-римость в воде 0,018% по
массе (20 °С), в тетрафтордибромэтане 10,7% (-20°С) и 2,7 (20 °С).
По хим. св-вам - типичный фторолефин. В атмосфере О2 разлагается до СО2 и CF4, при 200 °С начинается термич. разложение, при 600-800°С образуются продукты внедрения дифторкарбена и димеризации:

В контролируемых условиях (О2, УФ облучение) окисляется до малостабильного тетрафторэтиленоксида; последний легко превращ. в олигомерные перфторполи-эфиры:

В присут. источников аниона F- в апротонных полярных р-рителях образует реакционноспособный пентафторэтиль-ный анион, к-рый легко подвергается дальнейшим превращениям:

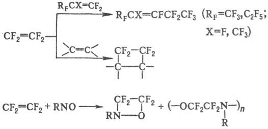
Тетрафторэтилен реагирует с олефинами с образованием циклических и линейных продуктов; с нитрозоалканами образует, как правило, смесь оксазетидинов и линейных сополимеров:
'
Взаимодействие тетрафторэтилена с перфторбром- и перфториодалка-нами, перфтордиалкилдисульфидами, пероксисульфурил-фторидом и др. приводит к соответствующим теломерам, напр.:

RF - перфторалкил
Полимеризация и сополимеризация тетрафторэтилена приводит к хемо-и термостойким полимерам.
В пром-сти тетрафторэтилен получают пиролизом CF2HCl при 700-800 °С. Др. способы: пиролиз политетрафторэтилена, перфторциклобутана, трифторметана или др. фторорг. соед.; высокотемпературное гидрирование CF2ClCF2Cl или CF2Cl2; дегалогенирование тетрафтордихлор(дибром)этана с помощью металлов; декарбоксилирование солей пер-фторпропионовой к-ты.
Применяют тетрафторэтилен для получения разл. полимеров (напр., тефлона) и сополимеров (напр., с этиленом, гексафторпро-пиленом, нитрозоперфторалканами и др. олефинами), инертных тяжелых жидкостей и смазок, а также ряда фторорг. соединений.
При вдыхании тетрафторэтилен поражает слизистые оболочки верх. дыхат. путей и легочной ткани, вызывает функцион. расстройства центр. нервной системы. ПДК рабочей зоны производств. помещений 30 мг/м3, макс. разовая ПДК в воздухе населенных мест 6 мг/м 3 (класс опасности 4).
Тетрафторэтилен-горючий и взрывоопасный газ. При соприкосновении с открытым пламенем или нагретыми пов-стями разлагается с образованием высокотоксичных продуктов. КПВ 13,4-46,4% по объему. При хранении в жидкой фазе способен к спонтанной взрывообразной полимеризации.
Лит.: Рахимов А. И., Химия и технология фторорганических соединений, М., 1986; Промышленные фторорганические продукты. Справочник, Л., 1990. И. И. Крылов.