Фотохимические реакции
ФОТОХИМИЧЕСКИЕ РЕАКЦИИ, хим. р-ции, протекающие под действием света. Поглощение фотона с длиной волны ~ 100-1500 нм, чему соответствует энергия 0,8-12,4 эВ (80-1200 кДж/моль), вызывает квантовый переход молекулы в-ва из основного электронного состояния в одно из возбужденных состояний или фотоионизацию - отщепление электрона и образование катион-радикала. Возбужденные состояния молекул имеют отличную от основного состояния электронную структуру и, как правило, более высокую реакционную способность. Молекулы вступают в хим. р-ции, первичные продукты к-рых (ионы, радикалы, изомеры) чаще всего оказываются нестабильными. Конечные продукты фотохимических реакций появляются в результате обычных термич. р-ций, к-рые протекают либо непосредственно с участием первичных частиц, либо как ряд последовательных хим. превращений.
Как правило, для молекул с четным числом электронов при фотовозбуждении первоначально образуется возбужденное синглетное состояние (с мультиплетностъю, равной 1). Фотохимическая реакция обычно протекает из нижнего возбужденного синглетного состояния или из триплетного состояния (мультиплетность 3), к-рое получается из возбужденного синглетного состояния путем интеркомбинационной конверсии (изменения спина одного из электронов).
С хим. р-циями возбужденных молекул конкурируют фо-тофиз. процессы: испускание фотона (флуоресценция или фосфоресценция), внутренняя и интеркомбинационная конверсия в нижележащие электронные состояния (триплетное или основное). Вследствие этих процессов времена жизни возбужденных синглетных состояний обычно не превышают 10-8-10-9с. Триплетные состояния в жидких р-рах обычно "гибнут" в результате безызлучат. перехода и дезактивации (тушения) примесями (напр., кислородом); времена их жизни не превышают 10-5 с. В "жестких" средах (замороженных р-рах, полимерных матрицах), где процессы дезактивации замедляются, времена жизни триплетных состояний могут достигать десятка секунд.
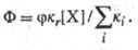
Квантовый выход Ф первичного продукта фотохимической реакции, образующегося из к.-л. возбужденного состояния, равен отношению скорости этой фотохимической реакции к сумме скоростей всех фотофиз. и фотохим. процессов гибели этого возбужденною состояния. Поскольку такие процессы м. б. как мономолекулярными, так и бимолекулярными, сумму их скоростей выражают через сумму констант скорости ki,- мономолекулярных (для р-ций первого порядка) и псевдомономолекулярных (для р-ций второго порядка) процессов, при условии, что для бимолекулярных р-ций концентрация [X] реагента в осн. электронном состоянии гораздо больше концентрации возбужденных молекул. Если
- квантовый выход молекул в возбужденном состоянии (как правило,
= 1 для возбужденных синглетных состояний и
для триплетных состояний), кr - константа скорости рассматриваемой фотохимической реакции, то

Суммарный выход конечного продукта равен произведению выходов всех продуктов в ряду последоват. хим. превращений, предшествующих образованию конечного продукта. В случае цепных р-ций выход конечного продукта может значительно (иногда на неск. порядков) превышать единицу.
Существует и др. определение квантового выхода - как отношение числа молекул, участвующих в фотохим. или фотофиз. процессе, к числу поглощенных фотонов. От квантового выхода следует отличать квантовую эффективность -отношение скорости процесса к скорости образования возбужденного состояния, из к-рого протекает данный процесс. Квантовый выход и квантовая эффективность равны для процессов, происходящих из синглетного возбужденного состояния.
Механизмы фотохимических реакций. Большинство фотохимических реакций протекает из терма-лизованных самых нижних возбужденных состояний соответствующей мультиплетности (правило Каши). Это обусловлено чрезвычайно высокой скоростью термализа-ц и и - установления термич. равновесия в результате перераспределения избыточной колебат. энергии между разл. степенями свободы возбужденных молекул и средой, а также высокой скоростью внутр. конверсии - переходов из высших возбужденных состояний в низшие возбужденные состояния той же мультиплетности, к-рая значительно превышает скорость большинства хим. р-ций и процессов испускания. Для таких фотохимических реакций квантовый выход не зависит от энергии поглощаемого фотона (длины волны возбуждающего света). Однако существуют также фотохимические реакции, протекающие из нерелаксированных (франк - кондоновских) возбужденных состояний, непосредственно образующихся при поглощении фотона. Таковы, напр., нек-рые р-ции диссоциации и изомеризации. При этом хим. р-ция конкурирует не с испусканием фотона или дезактивацией возбужденного состояния, а с его релаксацией в состояние, из к-рого возможен переход с флуоресценцией или фосфоресценцией. Квантовый выход таких р-ций не зависит от времени жизни флуоресцентного или фосфоресцентного состояния, но зависит от энергии возбуждения.
Существует два принципиально различных типа первичных р-ций фотовозбужденных молекул. При ад и а б а т и ч. фотохимических реакциях электронное возбуждение в элементарном хим. акте сохраняется, р-ция полностью протекает на поверхности потенциальной энергии (ППЭ) возбужденного электронного состояния и первичный продукт получается в возбужденном состоянии. При диабатич. первичных р-циях (иногда неправильно наз. неадиабатическими) электронное возбуждение в первичном хим. акте теряется, происходит переход с ППЭ возбужденного состояния на ППЭ основного состояния и первичный продукт сразу же получается невозбужденным. В нек-рых случаях и адиабатич. р-ции могут приводить к основному состоянию продукта, если ППЭ основного и возбужденного состояний в области координаты реакции, соответствующей первичному продукту, оказываются вырожденными (напр., при фотодиссоциации молекулы на атомы или радикалы).
Теория переходного состояния, на к-рой основано большинство используемых в химии концепций реакционной способности молекул в термич. р-циях (см. Активированного комплекса теория), применима строго лишь к адиабатич. фотохимическим реакциям. Диабатич. фотохимические реакции целесообразно рассматривать с позиций теории безызлучат. переходов, однако она пока недостаточно развита, особенно для сложных молекул. Наличие конкурирующих физ. процессов потери энергии электронного возбуждения, константы скорости к-рых даже для изолир. молекул очень велики и могут в ряде случаев достигать 1010 с-1 и более, осложняет механизм фотохимических реакций. Способность фотовозбужденных молекул к хим. взаимодействию определяется не столько значениями констант скорости соответствующих хим. р-ций, сколько соотношением скоростей р-ции и конкурирующих с ней физ. процессов деградации энергии электронного возбуждения. При взаимод. возбужденных молекул с к.-л. реагентами, помимо процессов потери энергии возбуждения, присущих самим возбужденным молекулам, возникают новые, часто еще более эффективные пути деградации энергии, обусловленные появлением дополнит. степеней свободы молекулы в реакционном комплексе и получившие назв. индуцированной дезактивации.
Для рассмотрения хим. активности возбужденных молекул привлекают как "статич." представления об электронной структуре (классификация мол. орбиталей, распределение электронной плотности, эффективные заряды на атомах и т.п.), так и "динамич." характеристики, т.е. изменения в элементарном хим. акте тех или иных параметров (сохранение орбитальной симметрии, мультиплетности, изменение энергии Гиббса, энергии локализации и др.).
Для фотохимических реакций наиб. перспективны динамич. подходы, поскольку они позволяют учитывать специфику конкретных процессов и в ряде случаев совместно рассматривать хим. превращение и конкурирующие с ним процессы деградации энергии возбуждения. Р-ции возбужденных молекул с этой точки зрения разделяют на разрешенные и запрещенные (по мультиплетности, орбитальной симметрии и др.). Напр., при нарушении орбитальной симметрии на пути р-ции возникает значит, потенциальный барьер, высота к-рого непосредственно не связана с энергетикой р-ции. Скорость таких фотохимических реакций может сильно изменяться даже при слабых изменениях структуры и симметрии молекул реагентов. Аналогично, для фотохимических реакций, связанных с изменением мультиплетности реагирующих частиц, весьма существенны факторы, влияющие на спиновые взаимод. (см. Спин-орбитальное взаимодействие, Спин-спиновое взаимодействие); эти факторы определяют вероятность интеркомбинационной конверсии, к ним относится, в частности, наличие в реагирующих молекулах или в среде тяжелых атомов парамагн. частиц, а также внеш. мага. поля.
Для адиабатич. фотохимических реакций и диабатич. фотохимических реакций, разрешенных правилами отбора (напр., для фотопереноса протона, фотопереноса электрона, отрыва атома H и др.), наблюдаются однотипные зависимости констант скорости от изменения энергии Гиббса в первичном фотохим. акте. Напр., для переноса электрона между возбужденной молекулой и донором электрона зависимость энергии Гиббса активации
от энергии Гиббса переноса электрона
описывается ур-нием:

где
- эмпирич. параметр, соответствующий энергии активации изоэнергетич. р-ции (~ 20 кДж/моль). Для нахождения
р-ций возбужденных молекул используют цикл Фёрстера, согласно к-рому в случае адиабатич. р-ций энтальпия р-ции
в возбужденном состоянии меньше энтальпии р-ции
в основном состоянии на величину разности энергий возбуждения исходной молекулы E* и первичного продукта
. Значения E* и E* ' легко определить из эксперим. спектральных данных или расчетом. Для диабатич. фотохимических реакций, где первичный продукт образуется непосредственно в основном состоянии,
E* ' опускают. В большинстве случаев полагают, что энтропии р-ций в основном и возбужденном состояниях примерно одинаковы и записывают аналогичное ур-ние для
G0*, к-рое позволяет вычислять константы равновесия и энергетику фотохимических реакций из возбужденных состояний.
При классификации фотохимических реакций, помимо общепринятых признаков - по типам разрываемых и образуемых связей, важное значение имеют механизмы разрыва и образования связей.
Основные типы фотохимических реакций. Фотодиссоциация- распад молекулы по к.-л. связи на радикалы, атомы или ионы, напр.:

Фотодиссоциация происходит при отталкивательном (диссо-циативном) типе ППЭ возбужденных состояний молекул. В оптич. спектрах поглощения для переходов в "диссоциатив-ные" состояния характерны сплошные полосы. Фотодиссоциация типична для таких возбужденных состояний, в к-рых электрон находится на разрыхляющей s*-орбитали. Существуют р-ции, когда первичный продукт образуется в возбужденном состоянии [напр.,
. В конденсир. средах первичные продукты фотодиссоциации оказываются в "клетке", образованной частицами р-рителя, и могут рекомбинировать с образованием исходных молекул (см. Клетки эффект), что приводит к существенному снижению квантового выхода по сравнению с фотохимическими реакциями в газовой фазе, где выход часто близок к единице. Фотодиссоциация - первичная стадия мн. р-ций замещения, стадия инициирования в цепных р-циях.
Предиссоциация - разновидность фотодиссоциации, при к-рой после поглощения фотона молекула первоначально оказывается в стабильном возбужденном состоянии, а из него переходит в диссоциативное возбужденное состояние, напр.:

Фотодиссоциация может протекать гомолитически либо гетеролитически. Из р-ций гетеролитич. фотодиссоциации наиб. важны фотопротолитич. р-ции (связанные с гетеролитич. разрывом связи элемент - водород). Известны также многочисленные р-ции гетеролитич. фотодиссоциации по др. связям, в частности С — С, напр, в лейкооснованиях - триарилметановых и нек-рых др. красителях:
. Нек-рые из таких фотохимических реакций могут протекать адиабатически с образованием возбужденных ионов красителей. Первоначально образующиеся карбкатионы могут взаи-мод. с нуклеофилами, приводя в конечном итоге к продуктам нуклеоф. замещения. Широко распространена гетеролитич. диссоциация в координационных соед., также приводящая в конце концов к замещению лигандов.
Распад (отщепление, фрагментация)- разложение на мол. фрагменты, сопровождающиеся перегруппировкой связей, напр.:

Разрыв и перегруппировка связей обычно происходят синхронно при движении системы частиц по соответствующей сложной формы ППЭ возбужденного состояния. Такие р-ции подчиняются правилам отбора для согласованных р-ции (см. Вудворда - Хофмана правила). Правило сохранения орбитальной симметрии разрешает для возбужденных состояний, в отличие от основного состояния, р-ции, протекающие через четырехцентровые переходные состояния. Для таких р-ций характерно слабое влияние конденсир. фазы и присутствия добавок, в частности акцепторов радикалов, на квантовый выход.
Фотоизомеризация. В зависимости от характера изомеризации различают стереоизомеризацию, таутомерные превращения, перегруппировки. Широко распространены процессы цис-транс- и транс-цис-фотоизомеризации непредельных соед., напр. арилэтиленов и тиоиндиго:

Эти фотохимические реакции обусловлены тем, что минимумы на ППЭ возбужденных состояний, в отличие от ППЭ основного состояния, часто соответствуют ортогональной, а не планарной конфигурации молекулы.
Практич. применение в качестве фотохромных систем находит фотоизомеризация opmo-нитроароматич. соед. и спи-ропиранов в мероцианины:

Широко распространены фотоперегруппировки в ряду аро-матич. и циклич. непредельных соед., напр. бензола и его производных - в бензвален, фульвен, т. наз. дьюаровский бензол и призман:

Окислительно-восстановит. фотохимические реакции. В основе большинства из них лежит фотоперенос электрона. Образующиеся в первичной стадии ион-радикалы вступают в дальнейшие превращения, давая продукты окисления или восстановления. Напр., при взаимод. дурохинона с донорами электрона (аминами, спиртами) под действием света первоначально образуются семихиноновые анион-радикалы, диспропорционирова-ние к-рых дает хинон и гидрохинон. Подобным образом происходит фотовосстановление красителей (акридиновых, оксазиновых, тиазиновых) до лейкоформ. Аналогично из ароматич. углеводородов RH в присут. доноров электрона D получаются анион-радикалы, к-рые в протонных р-рителях присоединяют протон и дают в конце концов продукты диспропорционирования, рекомбинации и т. п.:

В координац. соед. часто наблюдается фотоперенос электрона между центр. ионом и лигандом, что приводит к образованию окисленной и восстановленной форм, напр.:

Перенос электрона может происходить не только при взаимод. возбужденных молекул с донором или акцептором электрона, но и путем прямой фотоионизации молекул. Для фотоионизации требуется, чтобы энергия фотона превышала потенциал ионизации, что обычно существенно больше, чем для возбуждения молекулы. В конденсир. фазе энергия, необходимая для фотоионизации, понижается по сравнению с газовой фазой на 1-2 эВ вследствие поляризации среды образующимися ионами. При фотоионизации (напр., аминов в замороженных р-рах) оптич. и радиоспектроскопич. методами наблюдается образование их катион-радикалов. Электрон первоначально сольватируется р-рителем, а затем присоединяется к к.-л. акцептору, присутствующему в р-ре.
Фотовосстановление и фотоокисление могут протекать и не через стадии фотопереноса электрона. Так, фотовосстановление карбонильных, гетероциклич. и нитроароматич. соед. происходит путем отрыва
-возбужденными состояниями этих молекул атома H от р-рителя и дальнейших превращений образующихся радикалов, напр.:

Фотоокисление кислородом часто протекает путем фото-сенсибилизир. превращения мол. кислорода, основное состояние к-рого является триплетным
, в синглетное
состояние. Синглетный кислород легко присоединяется по кратным связям и внедряется, напр., по связи C-H:

Присоединениек возбужденным молекулам разл. реагентов характерно для многих ненасыщенных соед. Такие фотохимические реакции обычно протекают по синхронному механизму и подчиняются соответствующим правилам отбора (по мультиплет-ности, орбитальной симметрии и др.). Типичные примеры -образование цйклобутановых соед. (а), оксетанов (б), фото-димеризация (в), образование оксидов ароматич. соед. (г):
Известны процессы фотоприсоединения, протекающие по радикальному (иногда цепному) механизму, напр.:

Отрыв атомов (гомолитический) возбужденными молекулами от реагента (или р-рителя) характерен для возбужденных состояний, имеющих неспаренный электрон на несвязывающей орбитали (напр., для n,
-состояний карбонильных и гетероциклич. соед.):

Первично образующиеся радикалы вступают во вторичные р-ции рекомбинации или диспропорционирования, что приводит к стабильным конечным продуктам (в данном примере пинаконам или спиртам - продуктам восстановления исходного кетона). Причиной такого хим. поведения возбужденных
-состояний является сходство их электронной структуры со структурой радикалов. Для радикальных р-ций типичны линейные зависимости логарифма константы скорости отрыва от энергии разрываемой связи.
Внутримол. р-ции отрыва атома водорода характерны для карбонильных соед. с достаточно длинными (более двух атомов углерода) заместителями:

Промежут. бирадикал распадается на два непредельных фрагмента - олефин и енол, последний затем изомеризуется в кетон. Эта р-ция носит назв. р-ции Норриша типа П, в отличие от р-ции Норриша типа I, заключающейся в фотодиссоциации (предиссоциации) по связям, примыкающим к карбонильной группе:

Образующийся в р-ции Норриша типа П промежут. бирадикал может не только распадаться, но и циклизоваться, приводя к образованию замещенного циклобутанола.
Широко распространены также р-ции присоединения протона к таким основаниям (напр., к акридину), у к-рых при переходе в возбужденное состояние значительно увеличивается основность:

Лит. см. при ст. Фотохимия. М.Г. Кузьмин.