Оксетан
ОКСЕТАН (триметиленоксид), мол. м. 58,1; бесцв. жидкость; т. кип. 47,8 °С;
0,9001;
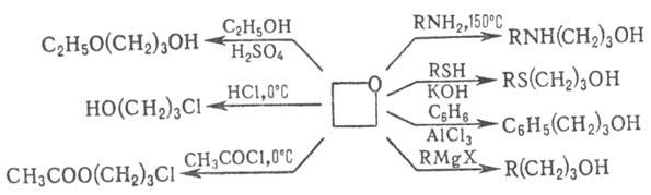
1,3897; хорошо раств. в воде, этаноле, диэтиловом эфире. Молекула плоская. Электронная плотность на атоме О выше, а на атомах С ниже, чем у нециклич. простых эфиров. Специфич. хим. св-ва проявляются в р-циях раскрытия цикла, к-рые активируются действием к-т. Оксетан легко полимеризуется в неполярных средах в присут. к-т Льюиса. Др. наиб. характерные р-ции оксетана:


Оксетан получают нагреванием 3-галоген-1-пропанолов или их ацетатов с конц. р-рами щелочей; замещенные оксетаны-фотохим. циклоприсоединением альдегидов или кетонов к алкенам, напр.:

Цикл оксетана входит в состав нек-рых антибиотиков. Замещенные оксетана (напр., 3,3-диэтилоксетан) обладают анестезирующим, седативным и антиконвульсивным действием; малотоксичны.
Лит.: Общая органическая химия, пер. с англ., т. 2, М., 1982, с. 391-97; The chemistry of heterocyclic compounds, ed. by A. Weissberger, v. 19, pt 2, N. Y.-L., 1964.
P. А. Караханов, В. И. Келарев.
Дополнения к описанию оксетана: