Тиоиндиго
ТИОИНДИГО [2,2'-бис-(3-оксобензо[b]тиенилиден), 2,2'-бис-тионафтениндиго], ф-ла I, мол. м. 296,4; коричнево-красные кристаллы; т. пл. 359 °С; не раств. в воде, раств. в конц. H2SO4, плохо раств. в нек-рых орг. р-рителях. При возгонке тиоиндиго образуются пары оранжево-красного цвета (lмакс в хлорбензоле 510 нм). В р-ре под действием УФ облучения происходит обратимая транс-, цис-изомеризация, сопровождающаяся изменением цвета на оранжевый (lмакс для транс- и цис-форм соотв. 540 и 485 нм).

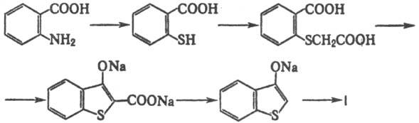
В пром-сти тиоиндиго получают превращением антраниловой к-ты в условиях р-ции Зандмейера (диазотирование с послед. заменой диазогруппы на SH) в тиосалициловую к-ту, к-рую алкилируют СlСН2СООН и сплавляют со щелочью; 2 молекулы образующегося бензо[b]тиофена (в виде Na-соли) конденсируются под действием серы в I:

Известны др. способы получения тиоиндиго, не имеющие пром. значения: алкилирование тиофенола С1СН2СООН с послед. окислением и циклизацией; взаимод. тиосалициловой к-ты с 1,2-дихлорэтиленом с послед. циклизацией ClSO3H; окисление o-меркаптоацетофенона или о-хлорацетофенона соотв. О2 воздуха или Na2Sx.
Тиоиндиго, подобно индиго, легко восстанавливается в водно-щелочной среде с образованием водорастворимого лейко-соединения.
Применяют тиоиндиго для печати по тканям под назв. тиоинди-го красный С, а также для покрывного крашения кожи и в качестве дисперсного красителя для лавсана. Тиоиндиго можно использовать для окрашивания шерсти.
Тиоиндиго синтезировано П. Фридлендером в 1906.
О производных тиоиндиго см. Тиоиндигоидные красители.
И. А. Троянов.