Тиопирилия соли
ТИОПИРИЛИЯ СОЛИ, содержат в молекуле катион тиопирилия структуры I.

Тиопирилия соли -твердые, часто окрашенные в-ва; окраска определяется природой заместителя в цикле и природой аниона. Т-ры плавления хлоридов тиопирилия и 2,6-дифенилтиопирилия соотв. 142 и 133-136°С, т-ры плавления перхлоратов 2-ме-тилтиопирилия и 2,6-дифенилтиопирилия соотв. 145-146 и 212-214 °С. Тиопирилия соли хорошо раств. в ацетоне, СНСl3, СН3СООН, не раств. в диэтиловом эфире, воде.
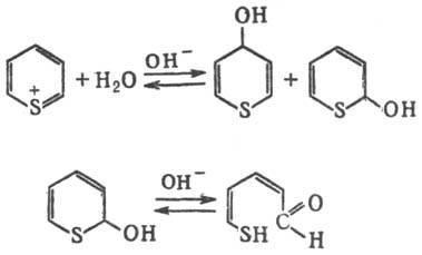
Тиопирилия соли обладают св-вами ароматич. соединений. Легко взаи-мод. с нуклеофилами. Так, напр., гидроксид-ион обычно атакует в a- и g-положения с образованием неустойчивых псевдооснований, для к-рых характерна кольчато-цепная таутомерия:

Р-ция тиопирилия солей с алифатич. аминами протекает по a-положению с размыканием цикла и возможной послед. рециклиза-цией; с ароматич. аминами р-ция идет по одному из атомов гетероцикла:

Третичные амины (трифениламин и др.) образуют с тиопирилия солями комплексы с переносом заряда.
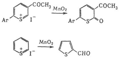
При восстановлении LiAlH4 или NaBH4, а также при взаимод. с RMgHal тиопирилия соли образуют тиопираны; при катали-тич. гидрировании над Pd/C превращ. в тиациклогексаны, при окислении МnО2-в тиопироны или производные тио-фена:

Получают тиопирилия соли гл. обр. из 1,5-дикарбонилъных соед., пиранов, солей пириллия или пиронов по р-циям:

Тиопирилия соли-промежут. продукты в орг. синтезе, фотосенсибилизаторы, красители для полимеров.
Лит.: Харченко В. Г., Чалая С. Н., Коновалова Т.М., "Химия гете-ропикл. соединений", 1975, №2, с. 147-61; Харченко В. Г., Чалая С. Н., Тиопираны, соли тиопирилия и родственные соединения, Саратов, 1987.
В. Г. Харченко, С. Н. Чалая.