Сульфеновые кислоты
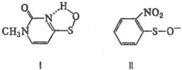
СУЛЬФЕНОВЫЕ КИСЛОТЫ, соед. общей ф-лы RS-ОН, где R-opг. остаток. Сульфеновые кислоты-нестабильные соед.; стабильность повышается при образовании водородных связей с участием группы SOH, а также при наличии электроноакцепторных заместителей у атома С, соседнего с группой SOH. Этим объясняется устойчивость антрахинонсульфеновых к-т, содержащих группы SOH в положениях 1, 1,4 или 1,5; 1-метил-2-оксопиримидин-4-сульфеновой к-ты (ф-ла I), выделенной в виде Ag-соли; аниона 2-нитробензолсульфеновой к-ты (II):

Сульфеновые кислоты называют, как правило, добавляя к назв. соединения-основы окончание "сульфеновая к-та".
Наиб. известны производные сульфеновых кислот: эфиры RSOR' и соли (сульфенаты), галогенангидриды RSHal (сульфенилгалоге-ниды), сульфенамиды RSNR' смешанные ангидриды суль-феновых и карбоновых к-т RSOC(O)R', сульфенилтиоциана-ты RSSCN и др.
Хим. св-ва сульфеновых кислот обусловлены наличием своб. электронных пар у атома S, лабильностью связей S—О и О—Н. Сульфеновые кислоты легко окисляются в мягких условиях [О2 в щелочной среде,
до соответствующих сульфиновых к-т RS(O)OH; в более жестких условиях, напр. при окислит. хлорировании, превращ. в сульфокислоты: RSOH + 2Сl2 + 2Н2О : : RSO2OH + 4HCl.
При действии на сульфеновые кислоты восстановителей (триалкилфосфи-ты, тиолы, тиосульфаты, гидразин, тиомочевина и др.) образуются дисульфиды и тиолы, напр.:

В водных р-рах сульфеновые кислоты димеризуются в тиоэфиры сульфиновых к-т: 2RSOH : RS(O)SR + Н2О.
Сульфеновые кислоты легко присоединяются к активир. ненасыщ. соединениям с образованием сульфоксидов, напр.:

Р-ция с ацетиленами М. б. использована для стереоспецифич. синтеза труднодоступных a, b-ненасыщ. сулъфоксидов.
Сульфеновые кислоты, образующиеся при пиролизе w-ненасыщ. сульфоксидов, способны к внутримол. циклизации по кратной связи с образованием циклич. продуктов:

Сульфенат-анионы, генерируемые из сульфеновых кислот в щелочной среде, проявляют св-ва амбидентных нуклеофилов. Их взаимод. с мягкими алкилирующими агентами осуществляются по атому S с образованием сульфоксидов, с жесткими-по атому О с образованием эфиров сульфеновых кислот, напр.:

Получают сульфеновые кислоты расщеплением дисульфидов (р-ция 1); термич. разложением сульфоксидов, содержащих трет-ал-кильные радикалы (2); термолизом тиоэфиров сульфиновых к-т, содержащих втор-алкилтиоэфирную группировку (3):

Сульфеновые кислоты-интермедиаты разнообразных хим. и биохим. процессов, в т. ч. процессов окисления тиольных групп в белках, фотосинтеза, термич. разложения сулъфоксидов.
Применяют сульфеновые кислоты и их производные в качестве добавок к моторным топливам, полупродуктов в синтезе гербицидов, лек. препаратов.
Лит.: Общая органическая химия, пер. с англ., т. 5, М, 1983, с. 418-24; Houben-Weyl, Methoden der organischen Cheraie, 4 Aufl., Bd 9, Stiittg., 1955, S. 267-75. И.И.Крылов.