Тиосемикарбазоны
ТИОСЕМИКАРБАЗОНЫ, соед. общей ф-лы R2C
(R-H, одинаковые или разл. алкил, арил, гетарил), продукты взаимод. тиосемикарбазидов с карбонильными соединениями. Тиосемикарбазоны-хорошо кристаллизующиеся стабильные в-ва, плохо раств. в воде и орг. р-ритслях.
Тиосемикарбазоны арил(гетерил)замещенных a-дикарбоншгьных соед., напр, ф-л I и II, циклизуются с образованием соотв. 1,2,4-триазинов и триазинонов, напр.:

R-арил, пиридил, тиенил
Конденсация тиосемикарбазонов нек-рых ароматич. альдегидов с метиловым эфиром пропиоловой к-ты приводит к тиазинонам, напр.:

Тиосемикарбазоны, незамещенные по атому N-4, реагируют с первичными аминами при 125-130 °С в толуоле, напр.:
(CH3)2C=NNHC(S)NH2 + NH2CH2Ph : : (CH3)2C=NNHC(S)NHCH2Ph
Тиосемикарбазоны способны образовывать комплексные соед.; при этом координация возможна по одному или обоим атомам N и S. Известны комплексы тиосемикарбазонов с Со(II,III), Ni, Pd, Cu(II), Zn, Мh, Ru(II,III), Fe(II,III) и др. бис-Тиосемикарбазоны, полученные из дикетосоед. (тиазоны), могут образовывать внутрикомплексные соед. с Cu(II), Ni(II) и др. металлами.
В кислых средах возможно таутомерное равновесие тиосемикарбазонов с продуктами их циклизации, напр.:

Получают тиосемикарбазоны взаимод. альдегидов или кетонов с тиосеми-карбазидом или его производными, незамещенными по атому N-1, в водно-спиртовой среде в присут. каталитич. кол-в сильных к-т (скорость р-ции зависит от полярных и стерич. факторов):
NH2NHC(S)NR2 + R'R:CO : R'R:C=NNHC(S)NR2
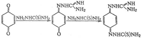
В нек-рых случаях р-ция протекает аномально, напр. при взаимод. 1,4-бензохинона с тиосемикарбазидом:

Образующийся продукт (фарингосепт)-лечебное и профи-лактич. ср-во против тонзиллитов, ангины, гингивитов, стоматитов.
Для получения тиосемикарбазоны ароматич. альдегидов м.б. использованы их производные по карбонильной группе-ацетали, би-сульфитные производные, азины, оксимы и др.
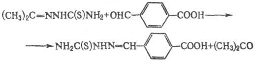
Тиосемикарбазоны можно получать обменной р-цией альдегидов с доступным тиосемикарбазонами ацетона либо обработкой гидразонов альдегидов изотиоцианатами, напр.:

Многие тиосемикарбазоны обладают биол. активностью. Так, моно-тиосемикарбазоны N-метилизатина (метисазон) применяют для лечения вирусных заболеваний (в частности, герпеса), для профилактики оспы, перспективен как противоопухолевый агент; тиосемикарбазоны n-ацетамидобензальдегида (тиоацетазон, тибон) и Na-соли n-сульфометиламинобензальдегида (солютизон) применяют для лечения туберкулеза; противотуберкулезную активность проявляют также тиосемикарбазоны 2-формилпиридина, 1-формилизохино-лина и дифенилкетона.
Лит.: Машковский М. Д., Лекарственные средства, 10 изд., ч. 2, Минск, 1987, с. 289-90, 340; Houben-Weyl, Methoden der organischen Chemie, Bd 9, Stuttg., 1955, S. 913-15; Kirk-Othmer encyclopedia, 3 ed., v. 5, N. Y., 1979, p. 545; Kauffman G. В., "Coord, chem. Rev.", 1985, v. 63, p. 127-60. А. А. Дудинов.