Хлорофиллы

ХЛОРОФИЛЛЫ (от греч. chloros - зеленый и phyllon -лист), прир. макрогетероциклич. пигменты, участвующие в процессе фотосинтеза; относятся к металлопорфиринам (см. Порфирины).
Зеленая окраска растений обусловлена присутствием хлорофиллов, локализованных во внутриклеточных органеллах (хлоропластах или хроматофорах) в виде пептидных комплексов.
Формально хлорофиллы представляют собой производные порфина, молекулы к-рых содержат циклопентаноновое кольцо, конденсированное с порфириновым макроциклом, центральный атом Mg и разл. заместители; одно или два пиррольных цикла в молекулах частично гидрированы, см., напр., ф-лу I. В пиррольном кольце D молекул хлорофиллов к остатку пропионовой к-ты обычно присоединены остатки высокомол. изопреноидных спиртов, к-рые придают хлорофиллам способность встраиваться в липидные слои мембран хлоропластов. Для хлорофиллов, как и для порфиринов, используется номенклатура ИЮПАК или Фишера.

6006-9.jpg

Хлорофилл a: R1 = СН — СН2, R2 = СН3, R3 = С2Н5, R4 = CH2CH2C(0)Y

Хлорофилл b: R1 = СН = СН2, R2 = СНО, R3 = C2H5, R4 = CH2CH2C(O)Y

Хлорофилл d: R1 = СНО, R2 = СН3, R3 = С2Н5, R4 = CH2CH2C(O)Y

Из высших растений, водорослей и фотосинтезирующих бактерий выделено и структурно охарактеризовано св. 50 разл. хлорофиллов. Осн. пигменты высших растений и зеленых водорослей - хлорофиллы а и b. Основа этих хлорофиллов- дигидропорфириновый (хлориновый) цикл, содержащий в качестве эфирных групп (Y) остаток спирта фитола (СН3)2СН(СН2)3СН(СН3)(СН2)3СН(СНз)(СН2)3С(СНз) = = СНСН2ОН.
При общем содержании хлорофиллов 0,7-1,1 г на 1 кг зеленой массы растений соотношение хлорофиллов а и b обычно составляет 3:1 (в зависимости от освещенности, наличия удобрения и др. факторов может колебаться от 2:1 до 3,4:1, что используется для контроля за развитием растений). Хлорофиллы а и b выделяют гл. обр. из листьев крапивы и шпината (разделяют эти хлорофиллы хроматографически), хлорофилл а - также из синезеленых микроводорослей, не содержащих хлорофилла b.
Близок по структуре к хлорофиллу а его (S)-эпимер по атому С-132 -прир. пигмент хлорофилл а', также участвующий в фотосинтезе. Замена этильной группы в положении 8 в хлорофиллах а и b на винильную приводит к 8-винилхлорофиллам а и b, обнаруженным в листьях огуречной рассады; участие этих хлорофиллов в фотосинтезе пока не доказано.

Из бурых и диатомовых водорослей выделены хлорофиллы а и с, из красных морских водорослей - хлорофиллы а и d.
Хлорофиллы группы с (c1, с2 и c3, ф-ла II) в отличие от др. хлорофиллов содержат негидрированный порфириновый макроцикл и остаток неэтерифицированной акриловой к-ты. Находясь в морских водорослях в виде белковых комплексов, хлорофиллы этой группы выполняют в фотосинтезе роль светособирающих антенн.
В большинстве фотосинтезирующих бактерий обнаружены бактериохлорофиллы (БХ), отличающиеся от хлорофилла а типом макроцикла и замещающими группами в цикле. Они имеют несколько модификаций: так, из пурпурных бактерий выделены БХ а и b, из зеленых бактерий - БХ а, с, d и е, из серных бактерий - БХ с, d и е; обнаружены также фотосинтезирующие бактерии, содержащие БХ g.

6006-10.jpg

Хлорофилл c1: Rl = CH3, R2 = C2H5 Хлорофилл с2: R1= CH3, R2 = CH = CH2 Хлорофилл с3: R1 = СООСН3, R2=CH=CH2
В основе БХ a, b и g (т. наз. собственно БХ; ф-ла III) лежит тетрагидропорфириновый макроцикл, содержащий в качестве эфирных групп (Y) остатки фитола, геранилгераниола (СН3)2С = СН(СН2)2С(СН3) = СН(СН2)2С(СН3) = СН(СН2)2С(СН3) = СНСН2ОН и 2,10-фитадиенола (СНO2СН(СН2)3С(СН3) = СН(СН2)2СН(СН3)(СН2)3С(СН3) = СНСН2ОН - для БХ а и b; БХ g содержит остатки фарнезола
(СН3)2С = СН(СН2)2С(СН3) = СН(СН2)2С(СН3) = СНСН2ОН и геранилгераниола. При выделении из ацетона или метанола (особенно в присут. оснований) БХ а и b эпимеризуются по атому С-132 с образованием эпимеров БХ а' и b'.

6006-11.jpg

Бактериохлорофилл a: R1 = СОСН3, R2 = СН3, R3 = С2Н5, R4 = CH2CH2C(0)Y, R5 = Н

Бактериохлорофилл b: R1 = СОСН3, R2 = СН3, R3 + R5= (=СНСН3), R4 = CH2CH2C(O)Y

Бактериохлорофилл g: R1 = СН = СН2, R2 = CH3, R3+ R5 = (= CHCH3), R4 = CH2CH2C(O)Y

Для БХ с, d и е (ф-ла IV), первоначально называемых хлоробиум-хлорофиллами, характерно наличие дигидропорфиринового макроцикла, a-гидроксиэтильной группы в положении 3 и разл. алкильных (от С1 до С5) заместителей в положении 8; эфирные группы (Y) - остатки 2,6-фитадиенола (СН3)2СН(СН2)3СН(СН3)(СН2)3С(СН3) = СН(СН2)2С(СН3) = СНСН2ОН и 2,16,20-фитатриенола (CH3)2C = СН(СН2)2С(CH3) = СН(СН2)2СН(СH3)(СН2)3 -С(СН3) = СНСН2ОН.
Хлорофиллы- высокоплавкие интенсивно окрашенные кристаллы от зеленого до темно-красного и черного цветов; т. пл. хлорофилла а 117-121 °С, хлорофилла b - 124-125 °С; т. разл. многих хлорофиллов более 300 °С. Хлорофиллы хорошо раств. гл. обр. в полярных орг. р-рителях (ДМСО, ДМФА, ацетон, спирты, диэтиловый эфир), плохо -в петролейном эфире, не раств. в воде. В УФ спектрах для многих хлорофиллов характерно наличие6006-12.jpg 400-430 (т. наз. полоса Соре); полные УФ спектры представлены в табл.

6006-13.jpg

Бактериохлорофилл с: R1 = СН3, R2 = С2Н5, R3 = СН3, R4 = CH2CH2C(O)Y, R5 = СН3

Бактериохлорофилл d: R1 =CH3, R2 = C2H5-C5H11, R3= C2H5, R4 = CH2CH2C(O)Y, R5 = H

Бактериохлорофилл e: R1 = CHO, R2 = C2H5-C5H11, R3 = C2H5, R4 = CH2CH2C(O)Y, R5 = CH3

НЕКОТОРЫЕ ХАРАКТЕРИСТИКИ ХЛОРОФИЛЛОВ И БАКТЕРИОХЛОРОФИЛЛОВ

Пигмент
Природный источник
Электронный спектр,6006-14.jpg нм (6006-15.jpg x 10-3 или отношение интенсивностей к основному пику)
Хлорофилл а
Все аэробные организмы
662(90), 516(15), 578(8), 534(4), 430(118), 410(76)
Хлорофилл b
Зеленые растения, водоросли
644(56), 595(12), 549(6), 455(159), 430(57)
Хлорофилл с1
Бурые водоросли
628(1,0)*, 578(0,6), 444(9,9)
Хлорофилл с2
Бурые водоросли
629(1,0)*, 582(1 ,2), 448(14,1)
Хлорофилл с3
Бурые водоросли
626(1,0)*, 585(3,8), 451(32,1)
Хлорофилл d
Хлорелла
Бактериохлорофилл а
Пурпурные бактерии
773(91), 697(9), 577(21), 530(3), 391(48), 358(73)
Бактериохлорофилл b
Пурпурные бактерии
794(100), 676(18), 578(25), 408(78), 368(81)
Бактериохлорофилл g
Азотфиксирующие бактерии
763(1,0)*, 575(0,4), 470(0,5), 418(1,9), 408(2,0)
Бактериохлорофилл с
Зеленые и бурые бактерии
668(64), 624(14), 574(11), 431(100), 384(65), 356(56)
Бактериохлорофилл d
Зеленые и бурые бактерии
654(61), 608(17), 424(100), 408(87), 330(45)
Бактериохлорофилл е
Зеленые и бурые бактерии
647(34), 592(19), 458(100), 337(48)

* В скобках даны интенсивности, выраженные относительно пика в красной области, принятого за единицу.

Под действием к-т и оснований хлорофиллы легко подвергаются структурным изменениям. Так, обработка слабыми р-рами к-т приводит к удалению центрального иона Mg с образованием феофитинов. Конц. НС1 наряду с Mg отщепляет фитол с образованием феофорбидов; раскрытие циклопентанонового кольца под действием конц. щелочи приводит к хлоринам. При обработке слабыми щелочами хлорофиллы постепенно теряют сложноэфирные группы, сохраняя центральный ион металла; при этом образуются хлорофиллиды и хлорофиллины. Аналогичные превращения претерпевают также и бактериохлорофиллы.
Вышеописанные р-ции на примере хлорофилла а приведены на схеме 1.
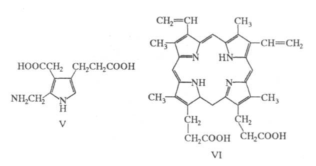
Осн. пути биосинтеза хлорофиллов: конденсация двух молекул6006-16.jpg аминолевулиновой к-ты с образованием порфобилиногена (ф-ла V), к-рый в результате ряда ферментативных превращений дает протопорфирин (VI). Из последнего образуется непосредственный предшественник хлорофилла- хлорофиллид, содержащий атом Mg. Путем последующих р-ций восстановления и присоединения остатков спиртов из него образуется хлорофилл. Стадия восстановления хлорофиллида осуществляется у высших растений на свету, у низших - в темноте.

6006-17.jpg

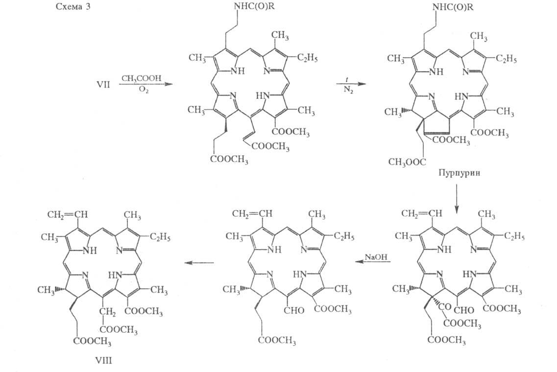
Синтез хлорофилла а - одно из замечательных достижений в области орг. химии. Полный синтез включает 46 стадий. Его осн. этапы представлены схемами 2, 3. Первый этап заключается в последоват. синтезе порфирина VII из четырех пирролов -предшественников колец A-D молекулы хлорофилла через два дипир-ролилметана (схема 2). Второй этап - превращение порфирина VII в триметиловый эфир хлорина е6 (VIII) с транс-конфигурацией при атомах С-17 и С-18 (т. наз. пурпуриновая р-ция; схема 3), послед. циклизация к-рого приводит к хлорофиллу а. Полный синтез хлорофилла а осуществил Р. Вудворд в 1960.

6006-18.jpg

6006-19.jpg

6006-20.jpg

Лит.: Итоги науки и техники, сер. Современные проблемы лазерной физики, т. 3, М., 1990; Дайзенхофер И., Михель Х., Фотосинтетический реакционный центр пурпурной бактерии, пер. с нем., М., 1990; Woodward R. В., "Pure Appl.Chem.", 1960, №2, p. 383; Woodward R.B. [а. о.], "Tetrahedron", 1990, v. 46, № 22, p. 7599-7659; Chlorophylls, ed. by H. Scheer, L., 1991; см. также лит. при ст. Порфирины.

А. Ф. Миронов.

Синонимы/примеры:* Хлорофилл a; Хлорофилл b; Хлорофилл c; Хлорофилл d; Хлорофилл f
*подобраны ИИ, возможны неточности