Оксикислоты
ОКСИКИСЛОТЫ (гидроксикарбоновые к-ты, гидроксикис-лоты), содержат в молекуле карбоксильную и гидроксиль-ную группы. В статье рассмотрены алифатические оксикислоты (см. также Оксибензойные кислоты и Оксинафтойные кислоты). В зависимости от взаимного расположения групп ОН и СООН различают
Число групп СООН определяет основность оксикислот, а число групп ОН (включая ОН в СООН)-их атомность. Мн. природные оксикислоты содержат один или неск. асимметрич. атомов С и существуют в виде оптич. изомеров.
Оксикислоты широко распространены в природе, их остатки входят в состав сфинголипидов животных и растений.
Оксикислоты- кристаллич. в-ва, низшие оксикислоты из-за сильной гигроскопичности - густые сиропообразные жидкости, хорошо раств. в воде. Физ. св-ва нек-рых оксикислот представлены в таблице. Оксикислоты вступают в р-ции, характерные для карбоновых к-т и спиртов, обладают также специфич. св-вами. Они более сильные к-ты, чем соответствующие карбоновые. Это объясняется существованием внутримол. водородной связи между группами ОН и СООН в
и
-оксикислотах; более сильную водородную связь образует карбоксилат-анион, получающийся при диссоциации оксикислот. Повышению кислотности способствует также индуктивный эффект группы ОН.
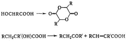
-Оксикислоты при нагр. дегидратируются с образованием лактидов;
-оксикислоты с третичной группой ОН при нагр. образуют кетоны и
-непредельные к-ты, а при окислении (КМnО4, Н2СrO4 и др.)-кетоны, напр.:

С солями нек-рых металлов, напр. Fe(III), Cu(II),
-оксикислоты дают комплексы.
-Оксикислоты при нагр. или при действии к-т дегидратируются с образованием
-ненасыщ. к-т, в присут. основных катализаторов претерпевают ретроальдольное разложение, напр.:

И
-оксикислоты при нагр., а также при действии водо-отнимающих агентов [(СН3СО)2О, СОСl2, карбодиимиды] образуют лактоны, при этом
и
-оксикислоты-самопроизвольно:

Образование лактонов с более удаленной группой ОН (больше 7 атомов С в молекуле) затруднено; их получают нагреванием
оксикислот в сильноразбавленных, р-рах, а также активированием групп ОН и СООН с промежут. образованием активных эфиров.
СВОЙСТВА НЕКОТОРЫХ ГИДРОКСИКИСЛОТ
| Соединение | Мол. м. | Т. пл., °С | Т. кип., °С (мм рт. ст.) | К·104 (25 °С) | ||
| Гликолевая к-та НОСН2СООН | 76,052 | 80 | - | 1,48 | ||
| Молочная к-та НОСН(СН3)СООН | 90,078 | 18 | 122(14) | 1,4* | ||
| Гидракриловая к-та НОСН2СН2СООН | 104,104 | - | - | 0,3** | ||
| Ацетоновая к-та НОС(СН3)2СООН | То же | 82 | 114(12) | 1,1 | ||
| | -"— | 44 | 138(14) | 1,5* | ||
| | -"— | - | 94(0,1) | 0,4 | ||
| | -"— | 17 | - | 0,2 | ||
| Глицериновая к-та НОСH 2 СН (ОН) СООН | 106,078 | 134 | - | 2,8 | ||
* Для рацемата. ** При 30 °С.
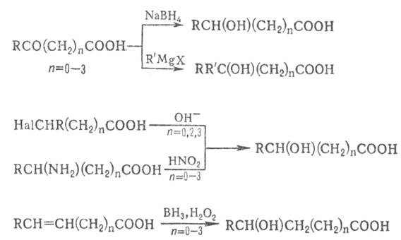
Общие методы синтеза оксикислоты: восстановление СО-группы альдегиде- и кетокислот или их взаимод. с реактивами Гриньяра; гидролиз галогензамещенных к-т или диазотиро-вание аминокислот; присоединение воды к непредельным к-там, напр.:

-Оксикислоты получают также присоединением KCN или LiСОN(изо-С3Н7)2 к альдегидам или кетонам с послед, гидролизом образующихся циангидринов (гидроксинитри-лов) или амидов
-оксикислот. Для синтеза
-оксикислот используют р-цию Реформатского, а также взаимод. дилитиевых производных карбоновых к-т с карбонильными соед., напр.:

И
-оксикислоты получают окислением циклич. кетонов надкисло-тами (р-ция Байера-Виллигера) с послед. гидролизом лактонов.
Оксикислоты играют важную роль в биохим. процессах. Лимонная кислота и яблочная кислота - ключевые продукты цикла трикарбоновых к-т;
- и
-оксикислоты-промежут. продукты метаболизма жирных к-т, а молочная кислота - метаболизма углеводов; мевалоновая к-та (3,5-дигидрокси-З-метилпента-новая)-промежут. продукт синтеза стеринов.
Из оксикислот применение находят глицериновая к-та и гликолевая кислота -для травления и снятия ржавчины с металлич. покрытий, гликолевая к-та-также в качестве протравы при крашении; гидракриловая - в синтезе эмульгаторов; ацетоновая-как добавка к полимерам для увеличения их вязкости;
-гидроксимасляная и ацетоновая-в синтезе лек. ср-в.
См. также Винные кислоты, Рицинолевая кислота, Урановые кислоты.
Лит.: Общая органическая химия, пер. с англ., т. 4, М., 1983, с. 156-95.
Д. В. Иоффе.
-Гидроксимасляная к-та НОСН(С2Н5)СООН
-Гидроксимасляная к-та НОСН(СН3)СН2СООН
-Гидроксимасляная к-та НО(СН2)3СООН