Стерины
СТЕРИНЫ (стеролы), алициклич. прир. спирты, относящиеся к стероидам; составная часть неомыляемой фракции животных и растит. липидов.
Стерины присутствуют практически во всех тканях животных и растений и являются наиб. распространенными представителями стероидов в природе. В зависимости от источника подразделяются на животные (зоостерины), растительные (фитостерины), стерины грибов (микостерины) и микроорганизмов. Такая классификация, однако, имеет ограничения для морских организмов, отличающихся исключительным разнообразием структур и состава стеринов.
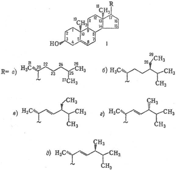
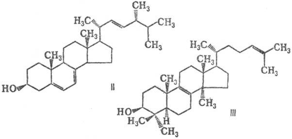
Основной стерин высших животных -холестерин (ф-ла la)широко распространен и у др. организмов. b-Ситостерин (ф-ла Iб)-один из наиб. распространенных стеринов растений; содержится в талловом масле. В сложных смесях стерины растений могут содержаться также значит. кол-ва стигмастерина (I в) и брассикастерина (I г). Осн. источник последних-соотв. масло соевых бобов и семян рапса, где их содержание может превышать 20% от массы неомыляемой фракции. Типичный представитель стеринов морских организмов -криностерин (24-эпибрассикастерин, 22-дегидрокампестерин; ф-ла Iд)-осн. компонент стеринов мн. диатомовых водорослей. Главный стерин дрожжей, грибов и ряда простейших-эргостерин (ф-ла II).


Ланостерин (ф-ла III), относящийся к метилстеринам, наряду с холестерином содержится в значит. кол-ве в жирах овечьей шерсти. Св-ва нек-рых стеринов представлены в таблице. В ИК спектрах стеринов имеются полосы валентных колебаний группы ОН (3200-3650 см-1), а также неплоскостных де-формац. колебаний С—H в группе С=С—H (800-970 см-1). 5,7-Диеновая система, характерная для эргосте-рина, обнаруживается по поглощению в УФ спектре-lмакс (этанол) 283 нм, e 11900. Наиб. информативны спектры ПМР и ЯМР 13С, а также масс-спектры, позволяющие определять мол. массу стеринов, наличие и характер заместителей в молекуле, число атомов и порядок связей.
Хим. св-ва стеринов мало отличаются от св-в алициклич. спиртов и алкенов. Особенность стероидной структуры стеринов проявляется, напр., в их способности образовывать прочные труднорастворимые комплексы с дигитонином и нек-рыми др. стероидными сапонинами, что широко использовалось для выделения и очистки холестерина в ранний период исследований. Структура и св-ва соед., содержащих двойные связи у атомов С-5 и С-22 (D 5,22-С), благоприятны для использования их в качестве исходных соед. в хим. синтезе ряда прир. стероидов и их аналогов, в т.ч. гормонов млекопитающих, насекомых и растений.
Биосинтез стеринов, как и др. стероидов, осуществляется из уксусной и мевалоновой к-т в результате многостадийного ферментативного процесса через непосредственный предшественник - сквален, циклизация к-рого в организмах животных и растений протекает по-разному; в первом случае образуется Ланостерин, во втором-циклоартенол (IV).

Превращение этих соед. в другие стерины-сложный и не до конца изученный процесс, протекающий в разл. биол. объектах неодинаково. Одно из отличий связано с присутствием у растений биосинтетич. механизмов алкилирования, к-рых нет у животных, в результате чего у растений преобладают стерины С28-С29, у животных-С27. Сами стерины, в свою очередь,-предшественники др. стероидов в живых организмах: у животных-желчных к-т, стероидных гормонов, витамина D, у растений - агликонных частей стероидных гликозидов, нек-рых регуляторов роста растений и др. Большинство биосинтетич. превращений стеринов имеет окислит. характер и протекает под-действием оксидоредуктаз, среди к-рых важная роль принадлежит цитохромам Р-450.
В природе стерины- биосинтетич. предшественники мн. стероидных биорегуляторов, осн. структурные компоненты (наряду с белками и фосфолипидами) клеточных мембран. Предполагают, что они выполняют при этом не только пассивную (структурную) ф-цию, но и влияют на клеточный метаболизм. Свои ф-ции в организме млекопитающих стерины реализуют в виде комплексов с белками (липопротеидов) и сложных эфиров высших жирных к-т, являясь их переносчиками во все органы и ткани через систему кровотока. Фитостерины, напр. b-ситостерин, в отличие от холестерина не усваиваются организмом человека. Большое разнообразие стеринов у растений, дрожжей и беспозвоночных, резко отличающееся от стеринов животных и человека, не имеет объяснения с функцион. точки зрения.
Анализ стеринов основан на сочетании хроматографич. и спектральных методов; весьма эффективна хромато-масс-спект-рометрия, позволяющая в процессе анализа фракции идентифицировать ее по типу фрагментации. Известные цветные р-ции нек-рых типов стеринов представляют в настоящее время лишь теоретич. интерес.
В пром-сти стерины выделяют из животного или растит. стеринсодержащего сырья: холестерин-из продуктов мясопереработки (мозга крупного рогатого скота), стиг-мастерин-из масла соевых бобов, b-ситостерин-из отходов целлюлозно-бум. производства, эргостерин-из дрожжей.
Применяют стерины гл. обр. для получения стероидных гормо-нов и производных на их основе, а также витамина D и др. фармацевтич. препаратов.
Лит.: Физер Л., Физер М., Стероиды, пер. с англ., М., 1964; Ахрем. А. А., Титов Ю. А., Стероиды и микроорганизмы, М., 1970; Хефт-мап Э. М., Биохимия стероидов, пер. с англ., М., 1972; Химия биологически активных природных соединений, под ред. Н. А. Преображенского, Р. П. Евстигнеевой, ч. 2, М., 1976; Общая органическая химия, пер. с англ., т.. 11, М., 1986, с. 70-106, 482-521: Еляков Г. Б., Стоник Б. А., Стероиды морских организмов, М., 1988; Лахвич Ф.А., Хрипач В.А., Жабинский В.Н., "Успехи химии", 1991, т. 60, в. 6, с. 1283-1317; Bloch К., "Steroids", 1989, v. 53, .№3-5, p. 261-70. В,А.Х'рипач.