Оксибензальдегиды
ОКСИБЕНЗАЛЬДЕГИДЫ (гидроксибензальдегиды), соед. общей ф-лы ОНСС6Н4_n(ОН)n. Наиб практич. значение имеют моногидроксипроизводные ф-лы I - 2-оксибензальдегид (салициловый альдегид), 3- и 4-оксибензальдегиды (мол. м. 122,13). 3- И 4-оксибензальдегиды-бесцв. кристаллы (см. табл.), раств. в этаноле, диэтиловом эфире, бензоле, плохо-в воде, не раств. в лигроине.

Оксибензальдегиды обладают св-вами альдегидов и фенолов. Реакц. способность альдегидной группы в оксибензальдегидах ниже, чем у бензальдегида. Так, оксибензальдегиды восстанавливают аммиачный р-р Ag, но не восстанавливают реактив Фелинга; на воздухе не подвергаются автоокислению.
СВОЙСТВА ГИДРОКСИБЕНЗАЛЬДЕГИДОВ
| Показатель | 3-оксибензальдегид | 4-оксибензальдегид | ||
| Т.пл., °С | 108 | 117-118,5 | ||
| Т. кип., °С | 240 | Возгоняется | ||
| | 1,129117 | 1,129130 | ||
| У, Н/м | 41,7·10-3 | 44,4·10-3 | ||
| DH0сгор, кДж/моль | -3304,6 | -3321,4 | ||
| m, Кл·м | - | 14,11·10-30 (диоксан) | ||
З-Оксибензальдегид при кипячении на воздухе с 33%-ным р-ром NaOH окисляется в 3-гидроксибензойную к-ту. 4-Оксибензальдегид при длит. нагревании в тех же условиях не изменяется; при сплавлении с КОН образует 4-гидроксибензойную к-ту, под действием NaOH и Н2О2 окисляется в гидрохинон.
3-Оксибензальдегид восстанавливается амальгамой Na до 3-гидрокси-бензилового спирта, 4-оксибензальдегид - электролитически в СН3СООН в присут. CH3COONa до 4-гидроксибензилового спирта. При многодневном кипячении с Zn в СН3СООН 4-оксибензальдегид превращ. в n-крезол.
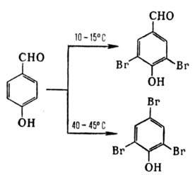
3-Оксибензальдегид бромируется в СНСl3 одним эквивалентом Вг2 в смесь 4- и 6-бром-3-гидроксибензальдегидов, в ССl4-только в 6-бром-З-гидроксибензальдегид; с двумя эквивалентами Вr2 в СНСl3 образуется 4,6-дибром-3-гидроксибензальдегид, с тремя -2,4,6-трибром-3-гидроксибензальдегид. 4-Оксибензальдегид бромируется Вг2 в водном р-ре по двум направлениям:

При кипячении 3-оксибензальдегида с СН3l в СН3ОН при 100°С в запаянном сосуде образуется 3-метоксибензальдегид, при кипячении 4-оксибензальдегида с СН3l и СН3ONa- анисовый альдегид.
В природе 4-оксибензальдегид содержится в лигнине нек-рых мхов.
В пром-сти 3-оксибензальдегид получают восстановлением 3-нитробен-зальдегида с послед. диазотированием и гидролизом диазо-соли, 4-оксибензальдегид -взаимод. фенола с 1,1-дихлордиметиловым эфиром в присут. АlСl3.
3-Оксибензальдегид синтезируют также восстановлением 3-гидроксибен-зойной к-ты амальгамой Na в слабокислом р-ре, 4-оксибензальдегид -деметилированием анисового альдегида в присут. гидрохлорида пиридина.
Оксибензальдегиды- промежут. продукты в синтезе триарилметановых красителей (3-оксибензальдегид), противоореольных красителей для фотографии (4-оксибензальдегид), нек-рых лек. препаратов и душистых в-в.
Лит.: Ullmanns Encyklopadie, 4 Aufl, Bd 8, Weinheim, 1974, S. 343-51.
H. H. Артамонова.
