Диазотирование
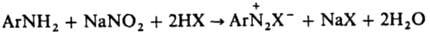
ДИАЗОТИРОВАНИЕ, способ получения ароматич. диазосоединений, заключающийся обычно в действии NaNO2 на первичные ароматич. амины в присут. минер. к-ты НХ:
Диазотирование проводят в воде, конц. к-тах, реже - в неводных средах. Поскольку р-ция экзотермична, а диазосоединения при нагр. легко разлагаются, реакц. смесь обычно охлаждают, поддерживая т-ру в интервале 0-10°С. При недостатке к-ты могут образовываться диазоамино- и аминоазосоединения. Производные о-аминонафтолов при диазотировании окисляются; для предотвращения этого в реакц. смесь добавляют соли Сu или Zn. Механизм диазотирования включает нитрозирование своб. амина с послед. отщеплением Н2О от катиона N-нитрозаммония (I) или ОН- от N-нитрозамина (II):
Нитрозирующий агент NOX образуется по р-ции: NO2- + + 2Н+ + Х- D NOX + Н2O, где X = ОН, ОС(О)CН3, OSO3H, NO2, Hal и др. (X расположены в порядке возрастания активности NOX). Наиб. активный агент - своб. нитрозоний-катион NO+; он образуется только в конц. серной или хлорной к-те. Если NOX образуется быстрее, чем катион N-нитрозаммония, скорость диазотирования зависит от концентрации амина. Чем ниже кислотность среды, тем выше концентрация NO2- и ОН-, а следовательно, и концентрация малоактивных частиц N2O3 и HNO2, в результате чего скорость диазотирования должна снижаться. Однако одновременно увеличивается концентрация своб. амина, что приводит к увеличению скорости диазотирования. С увеличением кислотности среды, как правило, увеличивается концентрация наиб. активных NOX, однако уменьшается концентрация своб. амина, что приводит к снижению скорости диазотирования. Поэтому в слабокислой среде диазотируют более основные амины, в сильнокислой - менее основные, в конц. H2SO4 с помощью нитрозилсерной к-ты - амины крайне низкой основности (напр., полинитроанилины). Чтобы увеличить скорость последней р-ции, среду разбавляют ледяной СН3СООН, сдвигая равновесие в сторону образования своб. амина. При диазотировании обычно к р-ру или мелкодисперсной суспензии соли амина в к-те прибавляют NaNO2, взятый с небольшим избытком. При использовании плохо р-римых аминосульфокислот к слабощелочному р-ру амина, содержащему NaNO2, прибавляют соляную к-ту. Для выделения галогенидов диазония процесс ведут в абс. спирте или ледяной СН3СООН, используя галогене водородные соли амина и в качестве диазотирующего агента - алкилнитриты. Для контроля р-ции в пром-сти используют анализаторы с электро-хим. индикацией избыточной HNO2. Анализатор связан с автоматич. дозиметром, регулирующим прибавление к-ты, NaNO2 и амина таким образом, чтобы не возникал избыток нитрозирующего агента. Диазотирование - первая стадия синтеза азокрасителей (см. Азосочетание), а также р-ций Зандмейера, Гомберга, Шимана, Гаттермана, Несмеянова, Барта, Меервейна. Диазотирование открыто П. Гриссом в 1858. Исп. литература: Цоллингер Г., Химия азокрасителей, пер. с нем., Л., 1960; Венкатараман К., Химия синтетических красителей, пер. с англ., т. 2-3, Л., 1957-74. И. Л.Багал.
Синонимы/примеры:*
Диазонирование; Диазотирование ароматических аминов
*подобраны ИИ, возможны неточности
Ещё по теме
Диазотирование — реакция и применение в органическом синтезе
Диазосоединения — свойства и применение
Диазотаты — свойства и применение
Диазоаминосоединения — особенности и применение
Диазосоединения — строение, свойства и применение
Диазония соли — свойства и применение
Диазоли — свойства и применение
Диазометан — характеристики и применение
Диазоаминолы — применение и свойства
Диазотипия — основы и применение