1. Определение N-концевых аминокислот
Наиболее часто для этой цели применяется динитрофенальный метод. Исследуемый пептид обрабатывают в щелочной среде при 25—40 °С 1-фтор-2,4-динитробензолом, который реагирует со свободной аминогруппой пептида:

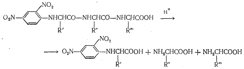
Полученное N-2,4-динитрофенильное производное пептида подвергают полному гидролизу кипящей соляной кислотой. При этом пептидные (амидные) связи гидролизуются, а более прочная связь между 2,4-динитрофенильным остатком и N-концевой аминокислотой сохраняется. Гидролизат содержит все аминокислоты, входившие в состав пептида, кроме N-концевой, которая превратилась в N-2,4-динитрофениламинокислоту:

Последняя легко отделяется от незамещенных аминокислот и идентифицируется хроматографически.
Большое распространение при исследовании пептидов получил фенилтиогидантоиновый метод, который позволяет устанавливать последовательность расположения нескольких аминокислот, примыкающих к аминному концу пептида. Пептид обрабатывают фенилизотиоцианатом в слабощелочной среде, превращая его в N-фенилтиокарбаминовое производное:

В кислой среде оно легко распадается, отщепляя N-концевую аминокислоту в виде соответствующего фенилтиогидантоина (образование устойчивого пятичленного цикла):

В результате этих реакций пептидная цепь укорачивается на одну аминокислоту, занимавшую N-концевое положение в пептидной цепи. Фенилтиогидантоин отделяют и подвергают кислотному или щелочному гидролизу в жестких условиях. Регенерирующуюся N-концевую аминокислоту идентифицируют хроматографически.
Пептид, укороченный на один аминокислотный остаток, обрабатывают фенилизотиоцианатом и еще раз повторяют все операции, отщепляя следующую аминокислоту. Практически удается провести 5—9 последовательных отщеплений аминокислот в пробе весом в несколько миллиграммов.
В последнее время разработан ферментативный метод установления чередования аминокислот в пептидах, начиная с N-концевой. Для этой цели исследуемый пептид подвергают гидролизу ферментом лейцинаминопептидазой, выделяемым из почек свиней. Этот фермент может расщеплять пептид лишь в том случае, если в α-положении к пептидной связи имеется аминогруппа. Вследствие такого специфического действия фермента в гидролизате, по мере протекания гидролиза появляются свободные аминокислоты, последовательно отщепляющиеся с аминного конца пептидной цепи. Наблюдая за процессом поочередного отщепления свободных аминокислот при помощи хроматографии, устанавливают последовательность расположения аминокислот в пептиде.