Пировиноградная кислота
Простейшим представителем α-кетонокислот является пировиноградная (или пирувиновая) кислота СН3—СО—СООН, получившая такое название потому, что она была впервые получена нагреванием винной (и виноградной) кислоты. Реакция объясняется отщеплением от винной кислоты СО2 с образованием глицериновой кислоты СН2ОН—СН(ОН)—СООН. Последняя, вероятно, теряя воду, дает сначала ненасыщенную оксикислоту СН2=С(ОН)—СООН, которая затем изомеризуется в пировиноградную кислоту. Такой ход реакции подтверждается тем, что глицериновая кислота при нагревании со слабыми водоотнимающими средствами, например с кислым сернокислым калием, действительно переходит в пировиноградную кислоту.
Кроме того, пировиноградная кислота может быть получена по любому из общих способов получения α-кетонокислот.
Пировиноградная кислота — жидкость с относительной плотностью 1,27 (при 20° С), температура застывания 13,6° С, т. кип. 165° С (с разл.). Она смешивается с водой и имеет запах уксусной кислоты. Пировиноградная кислота значительно сильнее пропионовой кислоты (константа диссоциации пропионовой кислоты К=0,00134, пировиноградной кислоты К=0,56). При нагревании с серной кислотой в запаянной трубке до 150°С распадается на СН3—СНО и СО2.
Карбонильная группа в пировиноградной кислоте чрезвычайно легко вступает в реакции, свойственные кетонам. Так, пировиноградная кислота образует оксим, гидразон (т. пл. 192° С), присоединяет синильную кислоту с образованием циангидрина СН3—С(ОН)(CN)—СООН, дает соединение с бисульфитом и пр.
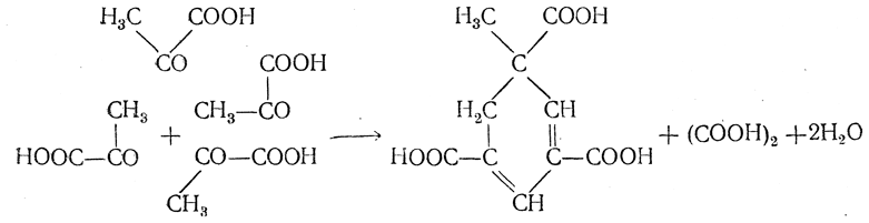
При нагревании солей пировиноградной кислоты с баритовой водой или с едким натром происходит конденсация пировиноградной кислоты с отщеплением щавелевой кислоты и образованием циклической (гидроароматической) метилдигидротримезиновой кислоты:

Метилдигидротримезиновая кислота может терять СО2 и, окисляясь, переходить в симметрическую метилизофталевую, или увитиновую, кислоту.