V. Полимеризация
Полимеризация ацетиленовых углеводородов может приводить к образованию разнообразных алифатических и карбоциклических соединений. Легко получаются углеводороды с утроенным молекулярным весом, относящиеся к бензольным, или ароматическим, углеводородам. Так, сам ацетилен при температуре темно-красного каления переходит в бензол (Бертело); метилацетилен при действии серной кислоты может превращаться в симметрический триметилбензол (мезитилен): 
Н. Д. Зелинский и Б. А. Казанский показали, что над активированным углем образование бензола из ацетилена протекает при более мягких условиях и чрезвычайно гладко, так что этот метод получения бензола может приобрести практическое значение при условии достаточной доступности и дешевизны ацетилена.
Нагревание раствора ацетилена в тетрагидрофуране до 50—60° С под давлением в присутствии никелевых солей ведет к образованию циклических полиенов: циклооктатетраена и циклодекапентаена:

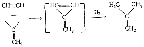
Ньюленд с сотр. открыли новый, в высшей степени интересный тип полимеризации ацетилена, происходящей под каталитическим влиянием растворов солей одновалентной меди. Первым продуктом полимеризации здесь является винилацетилен СН2=СН—С≡СН — простейший углеводород, содержащий одновременно этиленовую и ацетиленовую связи. В СССР эту реакцию изучали Н. Д. Зелинский и А. Л. Клебанский.
Образование винилацетилена объясняют соединением молекул двух таутомерных форм ацетилена (см. ниже):

При дальнейшей полимеризации получается изомерный бензолу углеводород С6Н6, имеющий строение диеинилацетилена СН2=СН—С≡С—СН=СН2, и затем углеводород С8Н8, для которого вероятно строение

Под влиянием различных катализаторов ацетилен может соединяться с метаном, образуя пропилен:

В присутствии металлической мелко раздробленной меди ацетилен при 200—300° С полимеризуется в так называемый купрен (СН)x—аморфный, легкий светло-желтый порошок, несмачивающийся водой, нерастворимый в обычных растворителях, очевидно имеющий весьма высокий молекулярный вес. Обладая ничтожной теплопроводностью, купрен может служить отличным изолятором.
Интересное превращение ацетилена при гидрировании его при 20 ат над никелевым катализатором, содержащим хлористый цинк, наблюдал А. Д. Петров:

Главным продуктом реакции здесь оказывается изобутилен. Эта реакция названа А. Д. Петровым кросс-полимеризацией.