Реппе реакции
РЕППЕ РЕАКЦИИ. 1) Синтез карбоновых к-т и их производных взаимод. СО с разл. орг. соединениями (в т.ч. с ненасыщ. углеводородами) и соединениями с подвижным атомом Н, напр.:
RC=CH + СО + НХ : RCH=CHC(O)X 2RCH=CH2 + 2СО + 2НХ : RCH2CH2C(O)X + CH3CHRC(O)X
ROH + CO + HX : RC(O)X + H2O ROR' + CO + HX : RC(O)X + ROH X = HO,R:O,HS,R:S,R:COO,NHR:
Реппе реакция относится к р-циям карбонилирования. Ее осущест-вляют в присут. карбонилов металлов (обычно карбонилы Со или Ni), к-рые служат катализаторами, а при их избытке-и источниками СО. В зависимости от соотношении кол-ва используемых в р-ции карбонилов металлов и реагентов различают два осн. способа ее проведения-"стехио-метрический" и "каталитический". В первом способе карбонилы металлов и др. реагенты берутся в стехиометрия, кол-вах; р-ция проходит при относительно низких давлениях и т-рах: 5-10 МПа, 50-60 °С (ацетилены) и 160-170 °С (оле-фины). Во втором способе карбонилы металлов берутся в небольших (каталитич.) кол-вах; р-цию осуществляют с использованием стехиометрич. кол-в СО при давлении ок. 20 МПа и т-рах 150-180°С (для ацетиленов) и 180-200°С (для олефинов).
Карбонилирование ацетилена приводит к акриловой к-те. Монозамещенные ацетилены обычно образуют один продукт, дизамещенные-два возможных изомера:
СН3С=СН + СО + Н2О : СН2=С(СН3)СООН 2РhС=ССН3 + 2СО + 2Н2O :PhCH=C(CH3)COOH + CH3CH=C(Ph)COOH
2RCH=CHR' + 2СО + 2Н2О : RCH2CHR'COOH + + R'CH2CHRCOOH
При карбонилировании гем-дизамещенных этилена доля триалкилуксусной к-ты не превышает, как правило, 15%:
RR'C=CH2 + СО + H2О : RR'CHCH2COOH + + CH3CRR'COOH
Селективность карбонилирования сопряженных диенов значительно зависит от условий р-ции. Так, в р-ции 1,4-бута-диена в присут. пиридина и Со2(СО)8 при 160-200°С и 25 МПа образуется в осн. 4-пентеновая к-та:
СН2=СНСН=СН2 + СО + Н2O : : СН2=СНСН2СН2СООН
При 210 °С и 43 МПа в этой же р-ции образуется смесь адипиновой НООС(СН2)4СООН, a-метилглута-ровой НООССН(СН3)СН2СН2СООН, этилянтарной HООССН(С2Н5)СН2СООН и валериановой СН3(СН2)3СООН к-т.
При синтезе к-т и сложных эфиров из олефинов и диенов высокую каталитич. активность проявляют комплексы Pd2+. В условиях гомог. или гетерог. катализа они позволяют смягчить условия проведения р-ции и повысить селективность процесса.
Карбонилирование метанола до уксусной к-ты с использованием карбонилов Со или Ni происходит в очень жестких условиях [в присут. Со2(СО)8 при 230 °С и 60 МПа]. В более мягких условиях (175°С, 3-4 МПа) р-ция осуществляется В присут. кат. Паулика - Рота (карбонилиодидный комплекс Rh), к-рый используют для промышленного произ-ва уксусной к-ты.
Многоатомные спирты карбонилируются с образованием поликарбоновых к-т, напр.:
НО(СН2)4ОН + 2СО : НООС(СН2)4СООН
Фенолы в Реппе реакцию не вступают. Карбонилированием тетра-гидрофурана получают адипиновую к-ту:

2) Синтез простых и сложных виниловых эфиров, винил-сульфидов и виниламинов взаимод. ацетилена со спиртами, фенолами, к-тами, меркаптанами и аминами в присут. основных катализаторов (щелочных и щел.-зем. гидрокси-дов и алкоксидов, NaH, KCN и др.):
СН=СН + НХ : ХСН=СН2 X = OR, OAr, RCOO, SR, NHR
Р-цию осуществляют при 150-200 °С и давлении до 4 МПа. Фенолы более реакционноспособны, чем спирты; b-и g-непредельные спирты, как правило, не вйнилируются.
Третичные амины в условиях Реппе реакции реагируют по схеме:

Механизм р-ции включает стадию образования карба-ниона (В-основание):

В условиях Реппе реакции, используя в качестве катализаторов Zn-или Cd-соли карбоновых к-т, можно осуществить виншгиро-вание b-дикарбонильных соед. (ацетилацетона, малонового и ацетоуксусного эфиров и др.) и сложных эфиров. В присут. таких катализаторов фенолы подвергаются С-винилирова-нию.
3) Конденсация ацетилена и его монозамещенных гомологов с альдегидами или кетонами (алкинолъный синтез), аминами (аминобутиновый синтез) или a-гидроксиаминами (аминопропиновый синтез) в присут. ацетиленидов Сu, Hg, Ag или Аu. Р-ции осуществляют обычно при повыш. т-ре и давлении до 2 МПа.
Алкинольный синтез:

В случае альдегидов (R' = Н) присоединение второй молекулы затрудняется с ростом длины углеводородной цепи. Аминобутиновый синтез:

Аминопропиновый синтез:

Вместо гидроксиаминов в р-цию можно вводить амин (триалкиламин, пиперидин, морфолин и др,) и альдегид (обычно СН2О).
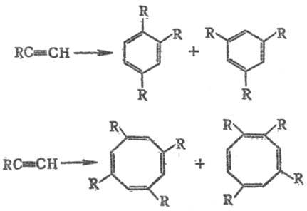
4) Циклоолигомеризация ацетилена и его гомологов с образованием бензола, циклооктатетраена и их производных, а также циклополиолефинов более высокой мол. массы, напр.:

Р-цию осуществляют при 60-120 °С и 1,5-2,5 МПа в орг. р-рителе (бензоле, циклогексане, ТГФ, диоксане, ДМФА и др.), кат.-Ni(CN)2, Ni(SCN)2, никелевые производные b-дикарбонильных соед., комплексы типа Ni(CO3)3(MR3) и Ni(CO)2(MR3)2, где М = P, As и Sb, R = Alk, Аr. Высокую активность при циклотримеризации проявляют монозаме-щенные алкины с R = Alk, Ar, СН=СН2, OR', NR'2, C(O)R', ОН и COOR', мало активны алкины с R = СООН, CN, C(O)NH2. Селективность циклотримеризации зависит от природы катализатора. Циклотримеризацию дизамещенных алкинов можно осуществить в присут. Fe(CO)2, Co2(CO)8 и Hg[Co(CO4)]2. Циклооктатетраен с большим выходом образуется при проведении р-ции в ТГФ в присут. Ni(CN)2. Реппе реакции лежат в основе мн. пром. процессов, в т.ч. крупнотоннажных, позволяющих получать разнообразные хим. в-ва. Они разработаны В. Реппе в 1930-50.
Лит.: Houben-Weyl, Methoden der Organischen Chemie, B3 4, Tl 2, Stuttg., 1955, S. 407, 413; там же, Bd 6, Tl 2, S. 664. См. также лит. при ст. Карбони-лирование. А. А. Соловьяное.