IV. Полимеризация
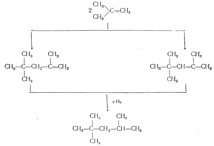
Под влиянием различных конденсирующих агентов (серная кислота, хлористый цинк, фтористый бор и пр.) может происходить соединение двух или нескольких молекул этиленовых углеводородов. Исследования А. М. Бутлерова по полимеризации изобутилена С4Н8 под действием серной кислоты показали, что при этом получаются в основном два продукта: диизобутилен C8H16 и в несколько меньшем количестве — триизобутилен C12H24. Диизобутилен (т. кип. 101—102° С) представляет собой смесь двух изомеров — более низкокипящего 2,4,4-триметилпентена-1 и более высококипящего 2,4,4-триметилпентена-2. Эта смесь играет важную роль при синтезе изооктана — компонента моторного топлива с октановым числом 100. При гидрировании оба изомера превращаются в 2,2,4-триметилпентан (изооктан):

Триизобутилен — смесь, кипящая в пределах 140—185° С, также содержит несколько компонентов.
С. В. Лебедев показал, что из продуктов полимеризации изобутилена можно выделить ряд полимеров состава (С4Н8)n, вплоть до гептамера С28Н56, и что полимеризация идет и дальше, не менее чем до n=15 (молекулярный вес 840).
Сам этилен под действием серной или фосфорной кислоты полимеризуется лишь при высокой температуре, причем получается сложная смесь углеводородов общей формулы СпН2п В тихом электрическом разряде происходит полимеризация этилена с образованием н-бутилена и н-гексилена:

Димеризация этилена происходит и под действием некоторых катализаторов (никель на разных носителях, окись молибдена на окиси алюминия, окись хрома на алюмосиликатах и др.) Изменив условия, на таких катализаторах можно получать и высокомолекулярные полимеры.
Полимеризация этилена легко протекает в присутствии следов кислорода без катализатора при 200°С и давлении 1000— 2000 ат или при низком давлении под действием триэтилалюминия как катализатора с добавкой сокатализатора TiCl4. В обоих случаях получается смесь твердых высокомолекулярных полимеров — полиэтилен (политен). Молекулярный вес полиэтилена в зависимости от условий его получения лежит в пределах от 1000 до 3 000 000. Полиэтилен находит широкое промышленное применение.
Пропилен при полимеризации под действием триэтилалюминия дает полипропилен.
Полимеризация этилена под влиянием триалкилалюминия (Циглер) происходит путем внедрения этилена между атомом алюминия и алкилом:

Реакция повторяется многократно и приводит к соединению типа

которое, распадаясь, дает смесь высших α-олефинов (полиэтилен) и гидрид алюминия:

Гидрид алюминия с этиленом снова образует триэтилалюминий, и процесс может продолжаться.