Производные предельных углеводородов, содержащие кремний
Кремний — аналог углерода, и его атомы могут участвовать в построении молекул, сходных с молекулами органических соединений. Однако атомы кремния не вполне равноценны атомам углерода, так как они все же неспособны связываться в столь же длинные и прочные цепи или кольца, как атомы углерода.
В течение длительного времени удавалось получать соединения, содержащие не более двух связанных друг с другом атомов кремния (Фридель и Ладенбург). Только в 20-х годах 20-го века были получены высшие кремневодороды, или силаны, вплоть до гексасилана Si6H14, аналога гексана С6Н14. Источником этих веществ являются сплавы магния с кремнием, получаемые при прокаливании порошка чистого кварца SiO2 с металлическим магнием. Растворяя такие сплавы в соляной кислоте, получают смеси силанов, которые затем фракционируют при низких температурах.
Низшие силаны — газы: SiH4 (т. кип. —112° С), Si2H6 (т. кип. —15° С); высшие — жидкости: Si3H8 (т. кип. + 53°С), Si4H10 (т. кип. +85°С).
В отличие от парафинов силаны очень реакционноспособны; они самовоспламеняются на воздухе, сгорая до двуокиси кремния и воды. Водой силаны разлагаются, например:

Щелочи и кислоты ускоряют такое разложение. Под действием галоидов водородные атомы силанов постепенно замещаются на атомы галоида:

Замещение водорода на хлор происходит и при действии хлористого водорода в присутствии АlСl3:

и т. д.
Органические соединения кремния можно рассматривать как производные силанов. Продукты замещения в силанах атомов водорода на алкилы носят название алкилсиланов. Алкилсиланы RSiH3, R2SiH2, R3SiH и R4Si называются моно-, ди-, три- и тетраалкилмоносиланами; соединения типа R3Si—SiR3 — соответственно гексаалкилдисиланами и т. д. Алкилсиланы получаются действием цинкалкилов, алкилмагнийгалогенидов или литийорганических соединений на соответствующие галоидсиланы
SiH3Cl, SiH2Cl2, SiHCl3, SiCl4.
Метилмоносилан СН3—SiH3 — газ, легко сгущающийся в жидкость, кипящую при —57° С и затвердевающую при —156° С. Диметилмоносилан (CH3)2SiH2 кипит при —20° С, плавится при —150° С. Тетраметилмоносилан (CH3)4Si— жидкость относительной плотности 0,648 (при 18,7° С) с запахом бензина; кипит при 26—27° С. Гексаметилдисилан (СН3)3Si—Si(СН3)3 — жидкость, относительной плотности 0,723 (при 24° С), затвердевающая при 12,4—14° С, кипящая при 112—114° С.
По мере замещения атомов водорода в силанах на алкилы устойчивость алкилсиланов возрастает. Алкилсиланы, в которых не все атомы водорода замещены на алкилы, легко окисляются, легко загораются и при действии щелочей выделяют водород, образуя соответствующие кислородные соединения. Полностью замещенные алкилсиланы — термостойкие вещества; они не гидролизуются под действием щелочей, но легко хлорируются и бромируются.
Нагреванием моно-, ди- и триалкилсиланов с сухим хлористым водородом в присутствии AlCl3 можно получить их галоидные производные, например:

Галоидные производные могут получаться также действием металлоорганических соединений на четыреххлористый кремний. Большое значение для промышленного синтеза кремнийорганических соединений приобрел способ получения алкилгалоидсиланов непосредственным действием галоидных алкилов на кремний в присутствии меди или серебра:

Метилхлорсилан CH3SiH2Cl и метилдихлорсилан CH3SiHCl2 — легколетучие жидкости; этилтрихлорсилан C2H5SiCl3 — жидкость относительной плотности 1,238 (при 20° С), кипящая при 99,5—100,5° С.
Алкилгалоидсиланы легко гидролизуются водой, образуя соответствующие кислородные соединения — силанолы (иногда называемые силиколами). Алкилмоносиланолы R3SiOH — бесцветные устойчивые жидкости с камфарным запахом, не разлагаемые водой в нейтральной среде. Подобно спиртам, алкилмоносиланолы могут давать металлические производные.
Силандиолы — нестойкие твердые вещества, легко теряющие элементы воды и дающие при этом линейные полидиалкилсилоксаны.

представляющие собой, в зависимости от молекулярного веса, либо жидкости, либо эластичные каучукаподобные вещества, обладающие ценными техническими свойствами.
Силантриолы RSi(OH)3 теряют воду в момент образования, превращаясь в неплавкие трехмерные полимеры.
При действии аммиака на алкилгалоидсиланы получаются азотистые кремнийорганические соединения, имеющие, например, строение:

Алкилтриэтоксисиланы и диалкилдиэтоксисиланы

получаются при действии цинк-, магний- или литийорганических соединений на ортокремневые эфиры:

Алкилалкоксисиланы представляют собой бесцветные жидкости с приятным камфарным запахом:

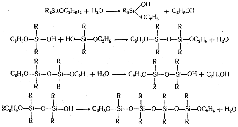
Кремнийорганические соединения представляют большой интерес в связи с возможностью получения на их основе ряда ценных материалов, обладающих значительной теплостойкостью: смазочных масел, материалов для пропитки и покрытий, эластичных материалов и т. п. Получение применяемых для этих целей полимерных кремнийорганических соединений основывается на гидролизе алкилгалоидсиланов или алкилалкоксисиланов (алкилтриэтокси- и диалкилдиэтоксисиланов). Процесс образования высокополимерных соединений из алкилалкоксисиланов, вероятно, протекает в такой последовательности:

С увеличением относительного содержания кремния повышается теплостойкость полимеров, а при введении более тяжелых углеводородных радикалов R увеличивается их вязкость, эластичность и прочность.
Возможность практического применения таких полисилоксанов впервые показана К. А. Андриановым, заслугой которого явилась и разработка методов их получения.