Молекулярная масса полимера
МОЛЕКУЛЯРНАЯ МАССА ПОЛИМЕРА (точное назв.-относит. мол. масса полимера), средняя статистич. величина относит. мол. масс макромолекул, составляющих полимер. Номенклатурными правилами ИЮПАК разрешено также использовать и термин "мол. вес". Определяется видом молекулярно-массового распределения и способом усреднения, т. е. принципом, лежащим в основе метода определения мол. массы. В зависимости от способа усреднения различают три осн. типа средних молекулярных масс.
С р е д н е ч и с л о в а я (среднечисленная) молекулярная масса (
) - усреднение по числу макромолекул в полимере:

где vi-числовая доля макромолекул с мол. массой М,, N- число фракций. Определяют
методами эбулиогра-фии, паровой и мембранной осмометрии, криоскопии, методами определения концевых групп.
С р е д н е м а с с о в а я молекулярная масса (
)-усреднение по массе макромолекул в полимере:

где wi -массовая доля макромолекул с мол. массой Мi . Определяют
методами светорассеяния, седиментации и диффузии.
z-С р е д н я я молекулярная масса (
) выражается ур-нием:

Получают
при измерении седиментац. равновесия.
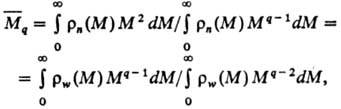
При больших молекулярных массах суммирование с достаточной степенью надежности можно заменить интегрированием, а усреднения представить в общем виде с q-средними молекулярными массами:

где r(М)-непрерывная дифференц. ф-ция распределения (см. Молекулярно-массовое распределение). При q, равном 1, 2, 3, получают соотв.
. Чем более полидисперсен полимер, т.е. чем шире его ММР, тем больше разнятся между собой эти средние молекулярные массы.
Анионной полимеризацией можно получать полимеры, близкие к монодисперсным (полистирол, полидиметилси-локсан, полиэтиленоксид). Для них величина молекулярной массы не зависит от способа усреднения.
Из гидродинамич. параметров, таких, как характеристич. вязкость ([h]), константы седиментации (S0) и диффузии (D0), получают с р е д н е г и д р о д и н а м и ч е с к и е молекулярные массы-
(средневязкостная молекулярная масса),
, и двойные средне-гидродинамические-
(двойная среднемассовая),
и
. Для полидисперсного полимера они различаются между собой и др. средними молекулярными массами след. образом:

Среднегидродинамические молекулярные массы вычисляют по данным измерения [h] (м3/кг), S0 (с/кг) и D0 (м2/с) на узких фракциях полимера по ур-ниям: [h] = Кh Ма (ур-ние Марка-Куна -Хувинка), S0 = KSM1-b, D0 = KDM-b где Кh, KS, KD, а и b-эмпирич. константы, зависящие от размера и формы, к-рую принимает макромолекула в р-ре при заданной т-ре и диапазоне молекулярных масс, и от природы р-рителя.
Двойную среднегидродинамическую молекулярную массу (
) определяют методами скоростной седиментации и диффузии, а также вычисляют по ур-нию:

здесь u-уд. парциальный объем полимера в р-ре (м3/кг), d-плотность р-ра (кг/м3), R-газовая постоянная, Т-т-ра.
Метод седиментац. равновесия позволяет определить
разного типа усреднения, напр.
. По методу неустановившегося равновесия (метод Арчибальда) и при центрифугировании в градиенте плотности (метод седимен-тац. равновесия) также можно получить средние молекулярные массы.
Все перечисл. методы применимы для определения молекулярных масс р-римых полимеров, макромолекулы к-рых имеют линейную или слаборазветвленную структуру. Для сильно разветвленных и сетчатых полимеров понятие молекулярной массы теряет смысл.
Молекулярная масса определяет мн. св-ва полимеров. Так, с увеличением молекулярной массы изменяются их св-ва, достигающие нек-рых предельных значений при высоких молекулярных массах. Однако при этом наблюдается значит. рост вязкости расплавов и р-ров полимеров, затрудняющий их переработку. Оптим. значения молекулярной массы полиэтилена составляют 100000-300000, полистирола-300 000-400 000, полиформальдегида - 40 000-150 000.
Исп. литература для статьи «МОЛЕКУЛЯРНАЯ МАССА ПОЛИМЕРА»: Рафиков С. Р., Павлова С. А., Твердохлебова И. И., Методы определения молекулярных весов и полидисперсности высокомолекулярных соединений, М., 1963; Рафиков С. Р., Будтов В. А., Монаков Ю. Б., Введение в физико-химию растворов полимеров, М., 1978. И. И. Твердохлебова.